Journal of Advances in Nanotechnology

Journal of Advances in Nanotechnology

Journal of Advances in Nanotechnology

Current Issue Volume No: 1 Issue No: 4

Research Article Open Access Available online freely Peer Reviewed Citation

Study of the Consciousness Energy Healing Treatment and It’s Effect on the Isotopic Abundance Ratio of Ascorbic Acid (Vitamin C)

Article Type: Research Article

1Trivedi Global, Inc., Henderson, Nevada, USA

2Trivedi Science Research Laboratory Pvt. Ltd., Thane (W), India

Abstract

Ascorbic acid is a water-soluble vitamin (Vitamin C) essential for both the plants and animals for the metabolic process. In this study, the liquid chromatography-mass spectrometry (LC-MS) analytical technique was used to characterize the structural properties and isotopic abundance ratio to evaluate the effect of the Trivedi Effect®-Consciousness Energy Healing Treatment on L-ascorbic acid compared to the control sample. The ascorbic acid sample was divided into control and treated parts. Only the treated part received the Trivedi Effect®-Consciousness Energy Healing Treatment remotely by a well-known Biofield Energy Healer, Mahendra Kumar Trivedi. The control and treated samples showed a chromatographic peak at retention time (Rt) 1.8 minutes exhibited the deprotonated molecular ion peak at m/z 175 (M-H)- (calculated for C6H7O6-, 175.02) in the mass spectra. The peak area of the treated sample (12817614.01) was significantly increased by 8.81% compared to the control sample (11779918.9). The LC-MS based isotopic abundance ratio of PM+1/PM (2H/1H or 13C/12C or 17O/16O) in the treated ascorbic acid was significantly increased by 23.22% compared with the control sample. Thus,13C, 2H, and17O contributions from (C6H7O6)- to m/z 176 in the treated ascorbic acid were significantly increased compared with the control sample. The increased isotopic composition of the treated ascorbic acid might have altered the neutron to proton ratio in the nucleus. The changes in isotopic abundance could be due to changes in nuclei possibly through the interference of neutrino particles via the Trivedi Effect®-Consciousness Energy Healing Treatment. The increased isotopic abundance ratio and peak area of the treated ascorbic acid may increase the intra-atomic bond strength and its stability. This novel ascorbic acid after the Trivedi Effect®-Consciousness Energy Healing Treatment would be very useful to design more efficacious pharmaceutical formulations against scurvy, obesity, cardiovascular diseases, hypertension, rheumatoid arthritis, Alzheimer's disease, cancer, etc.

Author Contributions
Received 09 Mar 2021; Accepted 30 Mar 2021; Published 15 Apr 2021;

Academic Editor: Fazal Raziq, School of Physics, University of Electronic Science and Technology of China.

Checked for plagiarism: Yes

Review by: Single-blind

Copyright ©  2021 Mahendra Kumar Trivedi, et al.

License
Creative Commons License     This is an open-access article distributed under the terms of the Creative Commons Attribution License, which permits unrestricted use, distribution, and reproduction in any medium, provided the original author and source are credited.

Competing interests

The authors have declared that no competing interests exist.

Citation:

Mahendra Kumar Trivedi, Alice Branton, Dahryn Trivedi, Snehasis Jana (2021) Study of the Consciousness Energy Healing Treatment and It’s Effect on the Isotopic Abundance Ratio of Ascorbic Acid (Vitamin C). Journal of Advances in Nanotechnology - 1(4):1-8. https://doi.org/10.14302/issn.2689-2855.jan-21-3771

Download as RIS, BibTeX, Text (Include abstract )

DOI 10.14302/issn.2689-2855.jan-21-3771

Introduction

Ascorbic acid (Vitamin C) is required by both plants and animals for the essential metabolic process. Vitamin C is plenty available in citrus fruits and vegetables, red peppers, potatoes, milk, oysters, animal liver, etc. 1, 2. Ascorbic acid converts to ascorbate at neutral pH or above pH 5 inside the cells and acts as a potent antioxidant 3, 4, 5. Vitamin C act as a cofactor in many enzymatic and non-enzymatic reactions. It helps in the synthesis of carnitine, collagen, and neurotransmitters, wound-healing and prevents bleeding from capillaries, metabolism of microsome, and synthesis and catabolism of tyrosine in the body 2. It is useful in the prevention and treatment of scurvy, hypertension, obesity, cancer, Alzheimer's disease, cardiovascular diseases, rheumatoid arthritis, etc. 3, 6, 7, 8, 9, 10, 11. Deficiency of ascorbic acid leads to scurvy, gingivitis, autoimmune disease, nose bleeding, weak immune system, slow wound healing, dry and splitting hair, leaky gut, swollen and painful joints, cancer, high blood pressure, stroke, gallbladder disease, atherosclerosis, etc. 7, 8, 9. Low plasma concentrations of ascorbic acid are observed in the case of diabetes, infections, and smoking 12. Vitamin C supplements are available for the prevention and treatment of vitamin deficiency diseases. The tolerable upper intake level of ascorbic acid is 2,000 mg/day, and excess of ascorbic acid in the body may cause indigestion, diarrhoea, headache, fatigue, disturbed sleep, haemochromatosis, skin rashes, suppress the production of progesterone from the corpus luteum in healthy subjects 2, 13.

The limitation associated with ascorbic acid is that it degrades while cooking, processing, packaging, storage, and cooking of blended foods 13, 14, 15. Exposure to air and temperature significantly affects the stability of ascorbic acid 14, 15. Dissolution, absorption, bioavailability, and stability of ascorbic acid depend upon the physicochemical properties of any pharmaceutical compounds 17. Improvement of the physicochemical properties of pharmaceutical and nutraceutical products is a challenging task 18. But, it was observed that the Trivedi Effect®-Biofield Energy Healing Treatment has a significant impact on the physicochemical properties and bioavailability of pharmaceutical / nutraceutical compounds 19, 20, 21, 22. The Trivedi Effect® is a natural and only scientifically established phenomenon in which an individual can harness this inherently intelligent energy and transmit it anywhere on the globe through the possible mediation of neutrinos 23. “Biofield Energy” the electromagnetic energy field which exists surrounding the living beings, which transmit electromagnetic energy in the form of bio-photons generated by the continuous movement of the electrically charged particles like ions, cells, blood flow, etc. inside the body. Biofield Energy Healing specialists have the ability to harness the energy from the Universe and can transmit into any living and non-living object( s). This process is called Biofield Energy Treatment 24, 25. Biofield based Energy Therapies have been reported with significant outcomes against various diseases, human health, and wellness 26. The National Center of Complementary and Integrative Health (NCCIH) has been recognized and accepted Biofield Energy Healing treatment as a Complementary and Alternative Medicine (CAM) health care approach along with other therapies, medicines, and practices 27. Most of the U.S.A. people have adopted these therapy 28. The Trivedi Effect®-Consciousness Energy Healing Treatment has also reported with altering the physical and thermal properties of organic compounds, polymers, ceramics, and metals 29, 30, 31, 32, 33, 34, improved productivity of crops 35, and healing cancer 36.

The Trivedi Effect®-Consciousness Energy Healing Treatment has a significant impact on the isotopic abundance of organic compounded 33, 34. The study of stable isotope ratio analysis has various applications in different fields of science 37, 38. The change in the isotopic abundance affects the physicochemical properties of the substance. The conventional liquid chromatography-mass spectrometry (LC-MS) can be useful for the study of isotopic abundance in low micromolar concentration with sufficient precision 38, 39. The Trivedi Effect®-Biofield Energy Healing Treatment could be an economical approach for designing more efficacious pharmaceuticals formulations. Thus, the LC-MS was used to evaluate the impact of the Trivedi Effect®-Consciousness Energy Healing Treatment on the structural properties and isotopic abundance ratio of L-ascorbic acid compared to the control sample.

Materials and Methods

Chemicals and Reagents

The L-ascorbic acid (vitamin C) powder sample was purchased from Alfa Aesar, India. Similarly, other chemicals like acetonitrile and ammonium acetate were purchased from Merck India.

Consciousness Energy Healing Treatment Strategies

The vitamin C test sample powder was divided into control, and Biofield Energy Treated parts. The control sample did not receive the Biofield Energy Treatment but was treated with a “sham” healer who did not have any knowledge about the Biofield Energy Treatment. However, the treated ascorbic acid was received the Trivedi Effect®-Consciousness Energy Healing Treatment remotely under standard laboratory conditions for 3 minutes by the renowned Biofield Energy Healer, Mahendra Kumar Trivedi, USA. After that, both the ascorbic acid samples were kept in sealed conditions and characterized using LC-MS analytical technique.

Characterization

Liquid Chromatography-Mass Spectrometry (LC-MS) Analysis

The LC-MS analysis of ascorbic acid was carried out with the help of LC-MS ThermoFisher Scientific, the USA equipped with an ion trap detector connected with a triple-stage quadrupole mass spectrometer. A reversed-phase Thermo Scientific Synchronis C18 (Length-250 mm X ID 4.6 mm X 5 micron), maintained at 25˚C was used. The diluent used for the sample preparation was methanol and water. 10 µL of the ascorbic acid solution was injected, and the analyte was eluted using 80% acetonitrile + 20% 5 mM ammonium acetate pumped at a constant flow rate of 1 mL/min (total run time 10 min). Peaks were monitored at 220 nm using the PDA detector. The mass spectrometric analysis was performed under -ve ESI mode.

The values of the natural isotopic abundance of the common elements are obtained from the literature 38, 40, 41. The LC-MS based isotopic abundance ratio (PM+1/PM) for both the ascorbic acid samples were calculated using equation (1).

% Change in isotopic abundance ratio = [(IARTreated – IARControl)/ IARControl)] x 100 (1)

Where IARTreated = isotopic abundance ratio in the treated sample and IARControl = isotopic abundance ratio in the control sample.

Results and Discussion

Liquid Chromatography-mass Spectrometry (LC-MS)

The chromatograms and mass spectra of both the control and Biofield Energy Treated samples of ascorbic acid are shown in Figure 1 and Figure 2, respectively. The chromatographic peak was observed at the retention time (Rt) of 1.8 minutes in the case of both the samples (Figure 1). But the peak area of the Biofield Energy Treated sample (12817614.01) was significantly increased by 8.81% compared to the control sample (11779918.9). One of the previous studies of the Biofield Energy Healer Mahendra Kumar Trivedi on ascorbic acid supported the results, in which the particle size of the treated ascorbic acid was reduced by 8.23% (d10), 22.07% (d50), 11.64% (d90), and 15.81% {D(4,3)} and the surface area was significantly increased by 15.38% as compared to the untreated sample 42. This indicated that the solubility of the Biofield Energy Treated ascorbic acid was significantly increased.

Figure 1.Liquid chromatograms of the control and Biofield Energy Treated ascorbic acid.
 Liquid chromatograms of the control and Biofield Energy Treated ascorbic acid.

Figure 2.Mass spectra of the control and Biofield Energy Treated ascorbic acid at Rt 1.8 minutes.
 Mass spectra of the control and Biofield Energy Treated ascorbic acid at Rt 1.8 minutes.

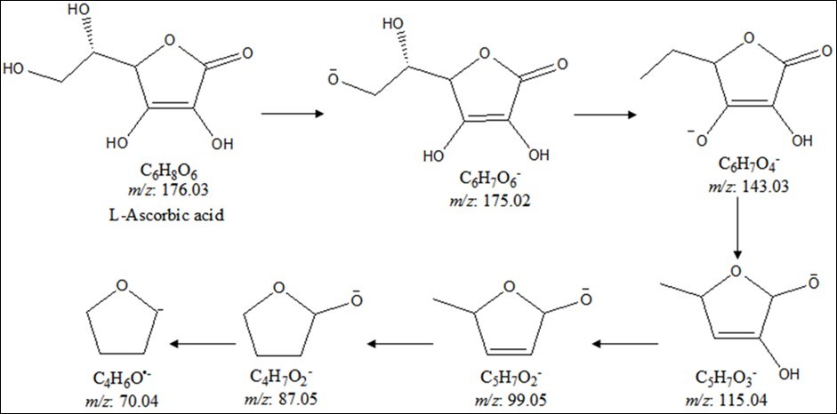
The mass spectra of both the samples of ascorbic acid exhibited the mass of the deprotonated molecular ion M- peak at m/z 175 (calculated for C6H7O6-, 175.02) along with other low molecular fragmentation peaks at 143, 115, 99, 87, and 70 for C6H7O4-, C5H7O3-, C5H7O2-, C4H7O2-, and C4H6O•- (Figure 2 and Figure 3). The data also supported by the published literature 43.

Figure 3.Proposed fragmentation pattern of ascorbic acid in –ve ion mode.
 Proposed fragmentation pattern of ascorbic acid in –ve ion mode.

The LC-MS spectra of both the ascorbic acid showed the mass of the molecular ion peak at m/z 175 M- (calculated for C6H7O6-, 175.02) with 100% relative intensity. The theoretical calculation of PM+1 for ascorbic acid was presented as below:

P(13C) = [(6 x 1.1%) x 100% (the actual size of the M+ peak)] / 100% = 6.6%

P(2H) = (7 x 0.015%) x 100% / 100%= 0.105%

P(17O) = (6 x 0.04%) x 100% / 100% = 0.24%

PM+1,i.e.13C, 2H, and17O contributions from (C6H7O6)- to m/z 176 = 6.95%

From the above calculation, it has been found that 13C and 17O have a major contribution to m/z 176.

The LC-MS based isotopic abundance ratio analysis PM (m/z 175) and PM+1 (m/z 176) of both the samples were obtained from the observed relative peak intensities of [M+] and [(M+1)+] peaks, respectively in the mass spectra (Table 1). The percentage change of the isotopic abundance ratio (PM+1/PM) in the Biofield Energy Treated ascorbic acid was significantly increased by 23.22% compared to the control sample (Table 1). Therefore, the13C, 2H, and17O contributions from (C6H7O6)- to m/z 176 in the Biofield Energy Treated sample were significantly increased compared to the control sample.

Table 1. LC-MS based isotopic abundance analysis results in Biofield Energy Treated ascorbic acid compared to the control sample.
Parameter Control sample Biofield Energy Treated sample
PM at m/z 175 (%) 100 100
PM+1 at m/z 176 (%) 5.21 6.42
PM+1/PM 0.05 0.06
% Change of isotopic abundance ratio (PM+1/PM) with respect to the control sample 23.22

PM: the relative peak intensity of the parent molecular ion [M+]; PM+1: the relative peak intensity of the isotopic molecular ion [(M+1)+], M: mass of the parent molecule.

The study confirmed the structure of the sample as ascorbic acid. The isotopic abundance ratio of PM+1/PM (2H/1H or 13C/12C or 17O/16O) in the Consciousness Energy Healing Treated ascorbic acid was significantly increased compared to the control sample. The increased isotopic composition of the Consciousness Energy Healing Treated ascorbic acid might have altered the neutron to proton ratio in the nucleus possibly through the interference of neutrino particles via the Trivedi Effect®-Consciousness Energy Healing Treatment. The neutrinos have the ability to interact with protons and neutrons in the nucleus, which indicated a close relationship between neutrino and the isotope formation 23, 38, 39. The isotopic abundance ratios 2H/1H or 13C/12C or 17O/16O would influence the atomic bond vibration of treated ascorbic acid 44. The increased isotopic abundance ratio of the treated ascorbic acid may increase the intra-atomic bond strength, its physical stability. This novel ascorbic acid after the Trivedi Effect®-Consciousness Energy Healing Treatment would be very useful to design more efficacious pharmaceutical formulations against scurvy, obesity, cardiovascular diseases, hypertension, rheumatoid arthritis, Alzheimer's disease, cancer, etc.

Conclusions

The impact of the Trivedi Effect®-Consciousness Energy Healing Treatment on ascorbic acid was identified as significant in the isotopic abundance ratio and chromatographic peak area. The control and Consciousness Energy Healing Treated samples showed a major chromatographic peak at retention time (Rt) 1.8 minutes exhibited the deprotonated molecular ion peak at m/z 175 M- in the mass spectra. The peak area of the Consciousness Energy Healing Treated ascorbic acid was significantly increased by 8.81% compared to the control sample. The LC-MS based isotopic abundance ratio of PM+1/PM (2H/1H or 13C/12C or 17O/16O) in the Consciousness Energy Healing Treated ascorbic acid was significantly increased by 23.22% compared with the control sample. Thus,13C, 2H, and17O contributions from (C6H7O6)- to m/z 176 in the Consciousness Energy Healing Treated ascorbic acid were significantly increased compared with the control sample. The increased isotopic composition of the Consciousness Energy Healing Treated ascorbic acid might have altered the neutron to proton ratio in the nucleus. The changes in isotopic abundance could be due to changes in nuclei possibly through the interference of neutrino particles via the Trivedi Effect®-Consciousness Energy Healing Treatment. The increased isotopic abundance ratio and peak area of the Consciousness Energy Healing Treated ascorbic acid may increase the intra-atomic bond strength and its stability. This novel ascorbic acid after the Trivedi Effect®-Consciousness Energy Healing Treatment would be very useful to design more efficacious pharmaceutical formulations against scurvy, obesity, cardiovascular diseases, hypertension, rheumatoid arthritis, Alzheimer's disease, cancer, etc.

Acknowledgments

The authors are grateful to Sophisticated Instrumentation Centre for Applied Research & Testing (SICART) India, Trivedi Science, Trivedi Global, Inc., and Trivedi Master Wellness for their assistance and support during this work.

References

  1. 1. (2019) Fact sheet for health professionals - Vitamin C. Office of Dietary Supplements. , US National Institutes of Health. Retrieved on 19.
  1. 2. (2019) . https://en.wikipedia.org/wiki/Vitamin_C. Retrieved on 19November
  1. 3.Figueroa-Méndez R, Rivas-Arancibia S. (2015) Vitamin C in health and disease: Its role in the metabolism of cells and redox state in the brain. Front Physiol 6: Article 397.
  1. 4.Padayatty S J, Katz A, Wang Y, Eck P, Kwon O et al. (2003) Vitamin C as an antioxidant: evaluation of its role in disease prevention. , J Am Coll Nutr 22, 18-35.
  1. 5.Meister A. (1994) Glutathione-Ascorbic Acid Antioxidant System in Animals. , J Biol Chem 269, 9397-9400.
  1. 6.D Valko M Leibfritz, Moncol J, Cronin M T, Mazur M, Telser J. (2007) Free radicals and antioxidants in normal physiological functions and human disease. , Int J Biochem Cell Biol 39, 44-84.
  1. 7.Chen Q, Espey M G, Krishna M C, Mitchell J B, Corpe C P et al. (2005) Pharmacologic ascorbic acid concentrations selectively kill cancer cells: action as a pro-drug to deliver hydrogen peroxide to tissue. , Proc Natl Acad Sci USA 102, 13604-13609.
  1. 8.Ye Y, Li J, Yuan Z. (2013) Effect of antioxidant vitamin supplementation on cardiovascular outcomes: A meta-analysis of randomized controlled trials. , PLoS ONE 8, 56803.
  1. 9.Chen G C, Lu D B, Pang Z, Liu Q F. (2013) Vitamin C intake, circulating vitamin C and risk of stroke: A meta-analysis of prospective studies. , J Am Heart Assoc 2, 000329.
  1. 10.Li F J, Shen L, Ji H F. (2012) Dietary intakes of vitamin E, vitamin C, and β-carotene and risk of Alzheimer's disease: A meta-analysis. , J Alzheimers Dis 31, 253-258.
  1. 11.Rosenbaum C C, O'Mathúna D P, Chavez M, Shields K. (2010) Antioxidants and antiinflammatory dietary supplements for osteoarthritis and rheumatoid arthritis. , Altern Ther Health Med 16, 32-40.
  1. 12.Vitamin Human, Requirements Mineral. (2001) Chapter 6. Food and Nutrition Division. , FAO Rome, Italy, Retrieved on 16.
  1. 13.Institute of (2000) Medicine Dietary reference intakes for VitaminC, Vitamin E, Selenium, and Carotenoids.Washington, DC: The National Academies Press. 95-185.
  1. 14. (1974) Toxicological evaluation of some food additives including anticaking agents, antimicrobials, antioxidants, emulsifiers and thickening agents. 17thReport, World Health Organization. , Geneva, Retrieved on 16.
  1. 15.Oyetade O A, Oyeleke G O, Adegoke B M, Akintunde A O. (2012) Stability Studies on Ascorbic Acid (Vitamin C) From Different Sources. , IOSR Journal of Applied Chemistry 2, 20-4.
  1. 16.Paul R, Ghosh U. (2012) Effect or thermal treatment on ascorbic content of pomegranate juice. , Indian Journal Biotechnology 11, 309-312.
  1. 17.Chereson R. (2009) Bioavailability, bioequivalence, and drug selection. In: Makoid CM, Vuchetich PJ, Banakar UV (Eds) Basic pharmacokinetics (1stEdn). , London
  1. 18.Chereson R. (2009) Bioavailability, bioequivalence, and drug selection. In:. Makoid CM, Vuchetich PJ, Banakar UV (Eds) Basic pharmacokinetics (1stEdn)Pharmaceutical Press,London .
  1. 19.Branton A, Trivedi M K, Trivedi D, Nayak G. (2019) Evaluation of the physicochemical and thermal properties of consciousness energy healing treated cefazolin sodium. , Organic & Medicinal Chem IJ 8, 555738.
  1. 20.Trivedi D, Trivedi M K, Branton A, Nayak G, Jana S. (2019) Consciousness energy healing treatment: Impact on the physicochemical and thermal properties of ascorbic acid. , Food Nutr Current Res 2, 164-173.
  1. 21.Nayak G, Trivedi M K, Branton A, Trivedi D, Jana S. (2018) Impact of Consciousness energy healing treatment on the physicochemical and thermal properties of vitamin D3(cholecalciferol). , Food Sci Nutr Technol 3, 000162.
  1. 22.Branton A, Jana S. (2017) The influence of energy of consciousness healing treatment on low bioavailable resveratrol in maleSprague Dawleyrats. , International Journal of Clinical and Developmental Anatomy 3, 9-15.
  1. 23.Trivedi M K, TRR Mohan. (2016) Biofield energy signals, energy transmission and neutrinos. , American Journal of Modern Physics 5, 172-176.
  1. 24.Rubik B. (2002) The biofield hypothesis: Its biophysical basis and role in medicine. , J Altern Complement Med 8, 703-717.
  1. 25.Nemeth L(2008) Energy and biofield therapies in practice. , Beginnings 28, 4-5.
  1. 26.Rubik B, Muehsam D, Hammerschlag R, Jain S. (2015) Biofield science and healing: history, terminology, and concepts. , Glob Adv Health Med 4, 8-14.
  1. 27.Koithan M. (2009) Introducing complementary and alternative therapies. , J Nurse Pract 5, 18-20.
  1. 28.Barnes P M, Bloom B, Nahin R L. (2008) Complementary and alternative medicine use among adults and children: United States. , Natl Health Stat Report 12, 1-23.
  1. 29.Dahryn T, Mahendra Kumar T, Alice B, Gopal N, Snehasis J. (2019) Evaluation of the physicochemical and thermal properties of antimony: Influence of the energy of consciousness healing treatment. , Op Acc J Bio Eng & Bio Sci 3, 303-309.
  1. 30.Nayak G, Trivedi M K, Branton A, Trivedi D, Jana S. (2018) The physicochemical and thermal properties of consciousness energy healing treated silver oxide. (Ag2O). Aspects in Mining & Mineral Science 2, 1-6.
  1. 31.Nayak G, Trivedi M K, Branton A, Trivedi D, Jana S. (2018) Evaluation of the physicochemical and thermal properties of consciousness energy healing treated polylactic-co-glycolic acid (PLGA). , Journal of Food Science and Technology 5, 117-125.
  1. 32.Trivedi M K, Branton A, Trivedi D, Nayak G, Sethi K K et al. (2016) Isotopic abundance ratio analysis of biofield energy treated indole using gas chromatography-mass spectrometry. , Science Journal of Chemistry 4, 41-48.
  1. 33.Trivedi M K, Branton A, Trivedi D, Nayak G, Panda P et al. (2016) Evaluation of the isotopic abundance ratio in biofield energy treated resorcinol using gas chromatography-mass spectrometry technique. , Pharm Anal Acta 7, 481.
  1. 34.Trivedi M K, Branton A, Trivedi D, Nayak G, Panda P et al. (2016) Gas chromatography-mass spectrometric analysis of isotopic abundance of13C,2H, and18O in biofield energy treated p-tertiary butylphenol (PTBP). , American Journal of Chemical Engineering 4, 78-86.
  1. 35.Nayak G, Altekar N. (2015) Effect of a biofield treatment on plant growth and adaptation. , J Environ Health Sci 1, 1-9.
  1. 36.Trivedi M K, Patil S, Shettigar H, Mondal S C, Jana S. (2015) The potential impact of biofield treatment on human brain tumor cells: A time-lapse video microscopy. , J Integr Oncol 4, 141.
  1. 37.Schellekens R C, Stellaard F, Woerdenbag H J, Frijlink H W, Kosterink J G. (2011) Applications of stable isotopes in clinical pharmacology. , Br J Clin Pharmacol 72, 879-897.
  1. 38.Weisel C P, Park S, Pyo H, Mohan K, Witz G. (2003) Use of stable isotopically labeled benzene to evaluate environmental exposures. , J Expo Anal Environ Epidemiol 13, 393-402.
  1. 39.Muccio Z, Jackson G P. (2009) Isotope ratio mass spectrometry. , Analyst 134, 213-222.
  1. 40.KJR Rosman, PDP Taylor. (1998) Isotopic compositions of the elements. , (Technical Report). Pure Appl Chem 70, 217-235.
  1. 41.Smith R M. (2004) Understanding Mass Spectra: A Basic Approach, Second Edition,JohnWiley&Sons,Inc.
  1. 42.Nayak G, Trivedi M K, Branton A, Trivedi D, Jana S. (2019) Physicochemical and thermal characterization of ascorbic acid: Impact of biofield energy treatment. , J Pharma Pharma Sci 3, 178.
  1. 43.Szultka M, Buszewska-Forajta M, Kaliszan R, Buszewski B. (2014) Determination of ascorbic acid and its degradation products by high-performance liquid chromatography-triple quadrupole mass spectrometry. , Electrophoresis 35, 585-592.
  1. 44.Santesteban L G, Miranda C, Barbarin I, Royo J B. (2014) Application of the measurement of the natural abundance of stable isotopes in viticulture: A review. , Australian Journal Of Grape And Wine Research 21, 157-167.