Antioxidant Activity of Biofield Treated Proprietary Test Formulation Supplemented with Vitamins and Minerals in Vitamin D3 Deficiency Diet (VDD) Induced Sprague Dawley Rats
Abstract
A proprietary formulation was designed that consisted minerals (zinc, magnesium, iron, calcium, selenium, and copper), vitamins (pyridoxine HCl, cyanocobalamin, ascorbic acid, and cholecalciferol), Panax ginseng extract, and cannabidiol isolate. The study was aimed to assess the potential of the novel test formulation (blessed) and per se to the animals with the Trivedi Effect® in male Sprague Dawley (SD) rats, fed with vitamin D3 deficiency diet (VDD). The test formulation consisted above mentioned ingredients was divided into two parts. One part was left aside as the untreated test formulation without any Biofield Treatment, while the other part was defined as the Biofield Energy Treated sample, which received the Biofield Treatment by renowned Biofield Energy Healer, Mr. Mahendra Kumar Trivedi. The level of lipid peroxidation end product malondialdehyde (MDA) in liver tissues was significantly reduced by 34.59%, 34.91%, and 65.81% (p≤0.001) in test formulation treated with Biofield Energy (G5), Biofield Treated test formulation from day -15 (G7), Biofield Treatment per se with Biofield Treated test formulation from day -15 (G8) groups, respectively as compared to the disease control group (G2). Moreover, level of catalase enzyme in liver tissues was also increased by 8.64% in the G7 group as compared to the G2 group. Besides, in brain homogenate the level of glutathione peroxidase (GPx) was significantly increased by 433.94%, 266.97%, 133.94%, 467.89%, and 489.86% in the G5, Biofield Energy Treatment per se to animals from day -15 (G6), G7, G8, and Biofield Treatment per se animals plus untreated test formulation (G9) groups, respectively than G2. Antioxidant enzyme like superoxide dismutase (SOD) was significantly (p≤0.001) increased by 14.16% in the G9 group as compared to the G2 group. Allover, results signified that the Biofield Treated test formulation significantly increased antioxidative parameters, could be able to give support against oxidative stress induced by free radical and to maintain a good human health.
Author Contributions
Academic Editor: Raj Kishori, Department of Genetics and Plant Breeding, , CSIR, Lucknow, India.
Checked for plagiarism: Yes
Review by: Single-blind
Copyright © 2021 Mahendra Kumar Trivedi, et al.
This is an open-access article distributed under the terms of the Creative Commons Attribution License, which permits unrestricted use, distribution, and reproduction in any medium, provided the original author and source are credited.
Competing interests
The authors have declared that no competing interests exist.
Citation:
Introduction
The human has a good antioxidant defense system to protect the cells from oxidative injury by the free radical to the cell membranes, lipids, proteins, and nucleic acids 1. Oxidative stress is the primary cause for many diseases 2. It has been well proven that decreased antioxidant system activities and increased ROS production leads to pathogenesis of many diseases like rheumatoid arthritis, hypertension, diabetes, atherosclerosis, chronic renal disease, ischemia/reperfusion, cancer, chronic adenotonsillitis and aging 3, 4. Antioxidant activity is considered as one of the vital property of any formulation or nutraceuticals. However, the high concentration of free radicals are very much accountable for abundant inflammatory infections 5. The current research work was designed with the aim of investigating the antioxidant potential of Biofield Energy Healing (the Trivedi Effect®) Treated test formulation supplemented with minerals and vitamins in Sprague Dawley rats. The test formulation consisted of vitamins (ascorbic acid, cholecalciferol, pyridoxine HCl, and cyanocobalamin), minerals (iron, copper, zinc, magnesium, calcium, and selenium), cannabidiol isolate, and Panax ginseng extract. Ingredients present in the test formulation are generally used as nutraceutical supplement 6, 7, 8, 9. CAM approaches are the first-line model for the management of several disorders, in which Biofield Therapy is one of them with several benefits to enhance overall human health and wellness. Besides, as per National Health Interview Survey (NHIS) 2012, reported that the major percentage of the American peoples had been used the dietary supplement as part of health approaches as CAM than conventional medicine treatment. The National Center of Complementary and Integrative Health (NCCIH) has recommended CAM health care approach including Biofield Therapy in addition to other practices such as Qi Gong, rolfing structural integration, Tai Chi, Ayurvedic medicine, deep breathing, yoga, aromatherapy, natural products, chiropractic/osteopathic manipulation, massage, meditation, hypnotherapy, special diets, naturopathy, homeopathy, guided imagery, progressive relaxation, acupuncture, acupressure, healing touch, relaxation techniques, pilates, movement therapy, mindfulness, traditional Chinese herbs and medicines, essential oils, Reiki, cranial sacral therapy and applied prayer (as is common in all religions, like Buddhism, Judaism, Hinduism, and Christianity).
Human Biofield Energy is a subtle form of energy existed surrounding the body that can work effectively 10. CAM have been practiced most of the developed country with clinical benefits in different health perspectives 11. This energy can be harnessed/acquired and transmitted/transfer by individuals in both non-living and living things via the process of unique Biofield Therapy. Numerous peer-reviewed reputed science journals with significant contributions of the Trivedi Effect® has been published in in various scientific fields viz. cancer research 12, 13, microbiology and biotechnology 14, 15, 16, pharmaceutical science 17, 18, 19, 20, agricultural science 21, 22, 23, materials science 24, 25, 26, nutraceuticals 27, 28, skin health 29, 30, human health and wellness. Therefore, authors planned to evaluate the impact of the Trivedi Effect® on the test formulation for antioxidant action using standard assays.
Materials and Methods
Chemicals and Reagents
Magnesium (II) gluconate, calcitriol, beta carotene (retinol, provit A), pyridoxine hydrochloride (vitamin B6), and zinc chloride were procured from TCI, Japan. Cholecalciferol (vitamin D3), copper chloride, cyanocobalamin (vitamin B12), calcium chloride, vitamin E (Alpha-Tocopherol), iron (II) sulfate, and sodium carboxymethyl cellulose (Na-CMC) were purchased from Sigma-Aldrich, USA. Ascorbic acid sodium selenate were obtained from Alfa Aesar, India. Cannabidiol isolate and Panax ginseng extract were obtained from Standard Hemp Company, USA, and Panacea Phytoextracts, India, respectively. Paricalcitol was obtained from Cayman Chemical, USA. Other chemicals used in this experiment were analytical grade procured from India.
Study Design
The current experiment was designed to fulfil the study protocol, animals were assigned into nine (9) groups. G1: Normal control (0.5% CMC); G2: Disease control (VDD: vitamin D3 deficient diet + 0.5% CMC); G3: Reference item (VDD + Calcitriol); G4: (VDD + untreated test formulation); G5: (VDD + Biofield Energy Treated test formulation); G6: (VDD + Biofield Energy Treatment per se to animals from day -15; G7: (VDD + Biofield Energy Treated test formulation from day -15); G8: (VDD + Biofield Energy Treatment per se plus Biofield Energy Treated test formulation from day -15), and G9: (VDD + Biofield Energy Treatment per se animals plus untreated test formulation).
Experimental Animals
Sprague Dawley (SD) rats were used in this study comprising body weight ranges from 200 to 300 gm. The animals were obtained from M/s. Vivo Bio Tech, Hyderabad, India. Animals were randomly divided into nine (9) groups based on their body weights consist of 6 animals of each group. The animals were kept individually in sterilized polypropylene cages with stainless steel top grill having provision for holding pellet feed and drinking water bottle fitted with stainless steel sipper tube. The animals were maintained and care as per the regulations of the Committee for the Purpose of Control and Supervision of Experiments on Animals (CPCSEA), Ministry of Environment and Forest, Govt. of India. The test facility is registered (registration no. 64/PO/RcBi/S/99/CPCSEA) for animal experiments with the CPCSEA. The animals were procured using protocol approved by the Institutional Animal Ethics Committee (IAEC/41/506) and the husbandry conditions were maintained as per the recommendations of the CPCSEA.
Consciousness Energy Healing Strategies
The each ingredient present in the proprietary test formulation was divided into two parts. First part of each ingredient did not give ant treatment, and defined as untreated. Besides, second part of each ingredient and three group of animals were received a unique Biofield Treatment by a renowned Biofield Energy healer Mr. Mahendra Kumar Trivedi (the Trivedi Effect®) under standard laboratory conditions for ~3 minutes. The blessing/treatment was given to the remotely without touching in the laboratory of Dabur Research Foundation, near New Delhi, India. Similarly, the control samples were subjected to “sham” healer under the same laboratory conditions for ~3 minutes. The “sham” healer did not have any knowledge about the Biofield Energy Treatment. The Biofield Treated and untreated test formulations were kept in a sealed condition. The Biofield Energy Treated animals were also be taken back to the study room.
Study Procedure
Animals were randomized and grouped based on the body weight after acclimatization for seven days. Dosing for groups G7 and G8 were also initiated on day -15 and continued to the end of the experiment. However, G1 to G6 and G9 animals were dosed from day 1 till the end of experiment. All the animals except G1 received vitamin D3 deficient diet (VDD), daily to the end of the experiment. Three weeks after the initiation of induction of VDD, all the groups were dosed with respective formulations. At terminal, i.e., during 8th weeks the animals were sacrificed and a portion of liver and brain samples were homogenized and stored in -80°C for estimation of anti-oxidant in liver homogenate (LPO and Catalase) and in brain homogenate (GPx and SOD) by ELISA method.
Antioxidant Assay Using ELISA Method
Tissue Lipid Peroxidation (LPO) in Liver Homogenate
Measurement of thiobarbituric acid reactive species (TBARS) levels is considered as an index of malondialdehyde (MDA) production 31. This method depends on the formation of MDA as an end product of lipid peroxidation which reacts with TBARS, a pink chromogen, which can be measured spectrophotometrically at 532 nm, an MDA standard was used to construct a standard curve against which readings of the samples were plotted 32.
Estimation of Catalase (CAT) in Liver Homogenate
The liver homogenate was used as a matrix for the estimation of antioxidant enzyme, catalase (CAT) by a colorimetric method with slight modification 33. Briefly, the formation of chromic acetate from dichromate and glacial acetic acid in the presence of hydrogen peroxide, was measures colorimetrically at 570 nm. One enzyme unit was defined as the amount of enzyme which catalysed the oxidation of 1 μM H2O2 per minute under assay conditions 34.
Estimation of Enzymic Antioxidants - Glutathione Peroxidase (GPx) and Superoxide Dismutase (SOD) and in Brain Homogenate
The brain homogenate was used as a matrix for the estimation of antioxidant enzymes by a colorimetric method with slight modification for GPx 35 and SOD 36. Briefly, the formation of chromic acetate from dichromate and glacial acetic acid in the presence of hydrogen peroxide, was measures colorimetrically at 570 nm. One enzyme unit was defined as the amount of enzyme which catalysed the oxidation of 1 μM H2O2 per minute under assay conditions.
Statistical Analysis
The data were expressed as mean ± standard error of mean (SEM) and subjected to statistical analysis using Sigma Plot (Version 11.0). Between two group’s comparison Student’s t-test and for multiple comparison One-way analysis of variance (ANOVA) followed by post-hoc analysis by Dunnett’s test were performed. The p≤0.05 was considered as statistically significant.
Results and Discussion
Measurement of Liver Lipid Peroxidation (LPO)
Lipid peroxidation is the process in which the membrane bound enzymes, proteins, and receptors are inactivated through loss of cell membrane integrity 37. Here, the lipid containing polyunsaturated fatty acids (PUFA) are hydrolysed into biologically active aldehydes and carbonyl compounds. Among these, the most important are malondialdehyde (MDA) 38. The effect of the test formulation on the lipid peroxidation in the liver tissue is shown in Figure 1. From the Figure 1, it was noticed that the tissue (liver) lipid peroxidation end product MDA slightly increased (16.51%) in the disease control group (G2) induced by vitamin D3 deficiency diet (VDD) compared to the normal control group (G1). The positive control, calcitriol was significantly (p≤0.001) suppressed the level of MDA by 51.88% as compared to the G2 group. Further, the level of MDA was significantly reduced by 44.52% (p≤0.001), 34.59%, 7.69%, 34.91%, 65.81% (p≤0.001), and 5.2% in the untreated test formulation (G4), Biofield Treated test formulation (G5), Biofield Treatment per se to animals from day -15 (G6), Biofield Energy Treated test formulation from day -15 (G7), Biofield Energy Treatment per se plus Biofield Energy Treated test formulation from day -15 (G8), and Biofield Treatment to the animals directly with untreated test formulation (G9) groups, respectively as compared to the disease control group (G2). Moreover, in G8 group the level of MDA was significantly (p≤0.001) reduced by 38.38% as compared to the G4 group. After post-treatment with the test formulation the level of lipid peroxidation end product MDA was significantly reduced in the Biofield Energy Treatment groups compared to the disease control as well as untreated test formulation groups, which might be due to the Trivedi Effect® - Conscious Energy Healing Treatment.
Figure 1.Lipid peroxide activity of the test formulation in male Sprague Dawley rats. G: Group; G1: Normal control (0.5% CMC); G2: Disease control (VDD: vitamin D3 deficient diet + 0.5% CMC); G3: Reference item (VDD + Calcitriol); G4: (VDD + untreated test formulation); G5: (VDD + Biofield Energy Treated test formulation); G6: (VDD + Biofield Energy Treatment per se to animals from day -15; G7: (VDD + Biofield Energy Treated test formulation from day -15); G8: (VDD + Biofield Energy Treatment per se plus Biofield Energy Treated test formulation from day -15), and G9: (VDD + Biofield Energy Treatment per se animals plus untreated test formulation). Values are expressed as mean ± SEM, n=6 in each group.
Estimation of Liver Catalase (CAT)
The effect of the test formulation on the enzymic antioxidant level in the liver tissue is shown in Figure 2. The level of catalase (CAT) was reduced by 1.19% in the G2 group compared to the G1 group. However, the CAT level was slightly increased in the positive control group (G3) compared to the G2 group. Further, CAT level was increased by 6.57%, 4.08%, 8.64%, 3.31%, and 1% in the untreated test formulation (G4), Biofield Energy Treatment per se to animals from day -15 (G6), Biofield Energy Treated test formulation from day -15 (G7), Biofield Energy Treatment per se plus Biofield Energy Treated test formulation from day -15 (G8), and Biofield Energy Treatment per se animals plus untreated test formulation (G9) groups, respectively compared to the G2 group (Figure 2). Oxygen free radicals have been proposed to be involved in the process of aging. CAT are important for antioxidative defense 39, 40. From literature it was demonstrated that an increased level of CAT leads to increased maximum life span, longevity and degenerative disease 41. Overall, the Biofield Treated test formulation significantly improved the levels of antioxidant defenced enzyme (catalase) compared to the disease control group (G2).
Figure 2.Enzymic antioxidant level (catalase) after treatment with the test formulation in male Sprague Dawley rats.
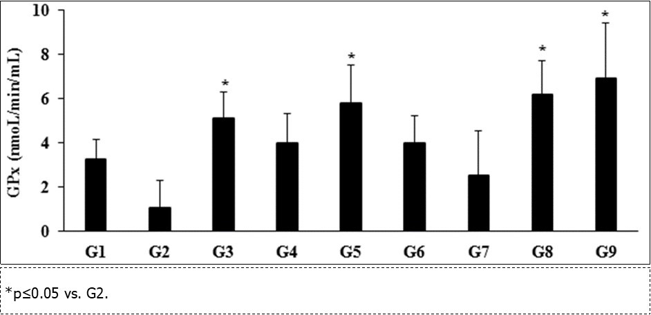
Glutathione Peroxidase (GPx) in Brain Homogenate
Antioxidant activity of the novel test formulation was studied using ELISA method by estimating glutathione peroxidase (GPx) in brain homogenate. Brain homogenate of rat in various groups were used for the estimation of antioxidants enzyme and results are presented in Figure 1. The level of glutathione peroxidase (GPx) was significantly reduced by 66.67% in the disease control group (G2) induced by vitamin D3 deficiency diet (VDD). Moreover, the level of GPx was significantly increased by 366.97% in the positive control group (G3) as compared to the G2. Further, GPx was significantly increased by 266.97%, 433.94%, 266.97%, 133.94%, 467.89%, and 489.86% in the G4, G5, G6, G7, G8, and G9 groups, respectively as compared to the diseases control group (G2). In addition to, GPx level was significantly increased by 45.5%, 54.75%, 72.75% in the G5, G8, and G9 groups, respectively as compared to the untreated test formulation group, G4 (Figure 3). Antioxidant activity is considered as one of the vital property of any formulation or nutraceuticals. However, the high concentration of free radicals are very much accountable for abundant inflammatory infections 42. Overall, the experimental data suggested that the novel test formulation has the significantly improved antioxidant defense enzyme (GPx) activity, which might help to minimize the inflammatory responses against wide range of inflammatory disease conditions.
Figure 3.Effect of the test formulation in male Sprague Dawley rats.
Superoxide Dismutase (SOD) in Brain Homogenate
The effect of the test formulation on super oxide dismutase activity (SOD) is shown in Figure 4. The level of SOD was significantly decreased by 6.15% in the disease control group (G2) induced by vitamin D3 deficiency diet (VDD). Moreover, the positive control, calcitriol had significantly (p≤0.001) increased the level of SOD by 23.04% as compared to the G2 group. Besides, the level of SOD was significantly increased by 8.67%, 6.13%, 1.9%, 5.51%, and 14.16% (p≤0.001) in the G4, G5, G6, G8, and G9 groups, respectively as compared to the G2 group (Figure 4).
Figure 4.The effect of the test formulation for the assessment of superoxide dismutase (SOD) activity in brain homogenate of male Sprague Dawley rats.
SOD is the antioxidant enzyme, which constitute the first-line of defense against deleterious effects of oxy-radicals in all the living cells. It breaks down the most dangerous free radical superoxide anion to molecular oxygen and hydrogen peroxide and prevents subsequent formation of hydroxyl radicals and plays an important role in the cellular antioxidant mechanism. It possesses a powerful anti-inflammatory activity against chronic inflammation 36. Thus, Biofield Energy Treatment would be the best alternative treatment approach to treat ulcerative colitis using improved anti-oxidation action.
Conclusions
Outcomes of this experiment showed that MDA in liver homogenate was significantly reduced by 34.59%, 34.91%, and 65.81% in the Biofield Energy Treated test formulation (G5), Biofield Energy Treated test formulation from day -15 (G7) and Biofield Energy Treatment per se plus Biofield Energy Treated test formulation from day -15 (G8) groups, respectively as compared to the disease control group (G2). Moreover, glutathione peroxidase (GPx) was significantly increased by 433.94%, 266.97%, 133.94%, 467.89%, and 489.86% in the G5, Biofield Energy Treatment per se to animals from day -15 (G6), G7, G8, and Biofield Energy Treatment per se animals plus untreated test formulation (G9) groups, respectively as compared to the G2. Further, superoxide dismutase (SOD) was significantly increased by 14.16% in the G9 group as compared to the G2 group. The current findings concluded that the Biofield Energy Treatment has significantly enhanced the test formulation’s antioxidant properties, which can be used to improve the overall health and well-being. Therefore, the Biofield Treated test formulation possess good antioxidant activity and it can be used as a CAM for various autoimmune disorders such as Multiple Sclerosis, Addison Disease, Lupus Erythematosus, Pernicious Anemia, Type 1 Diabetes, Hashimoto Thyroiditis, Dermatomyositis, Graves’ Disease, Aplastic Anemia, Vasculitis, Myasthenia Gravis, Crohn’s Disease, Scleroderma, Alopecia Areata, Rheumatoid Arthritis, Psoriasis, Sjogren Syndrome, Chronic Fatigue Syndrome, and Vitiligo as well as inflammatory disorders such as Ulcerative Colitis, Irritable Bowel Syndrome (IBS), Asthma, Dermatitis, Atherosclerosis, Hepatitis, and Diverticulitis. Further, the Biofield Treated test formulation and/or per se treatment to the animals can be used in cases of organ transplants like kidney transplants, heart transplants, and liver transplants, for anti-aging, stress prevention and management, and in the improvement of overall health and quality of life.
Acknowledgements
The authors are grateful to Dabur Research Foundation, Trivedi Science, Trivedi Global, Inc., and Trivedi Master Wellness for their support throughout the work.
References
- 1.Yilmaz T, Koçan E G, Besler H T. (2004) The role of oxidants and antioxidants in chronic tonsillitis and adenoid hypertrophy in children. , Int J Pediatr Otorhinolaryngol 68(8), 1053-1058.
- 2.Vertuani S, Angusti A, Manfredini S. (2004) The antioxidants and pro-antioxidants network: An overview. , Curr Pharm Des 10(14), 1677-1694.
- 3.Gaté L, Paul J, Ba G N, Tew K D, Tapiero H. (1999) Oxidative stress induced in pathologies: The role of antioxidants. , Biomed Pharmacother 53(4), 169-180.
- 4.Sezer U, Erciyas K, Ustün K, Pehlivan Y, Şenyurt S Z et al. (2013) Effect of chronic periodontitis on oxidative status in patients with rheumatoid arthritis. , J Periodontol 84(6), 785-792.
- 5.Karp S M, Koch T R. (2006) Oxidative stress and antioxidants in inflammatory bowel disease. , Dis Mon 52, 199-207.
- 6.Houston M. (2014) The role of nutrition and nutraceutical supplements in the treatment of hypertension. , World J Cardiol 6, 38-66.
- 7.Bishop W M.Zubeck HM (2012) Evaluation of microalgae for use as nutraceuticals and nutritional supplements. , J Nutr Food Sci 2, 147.
- 8.Houston M. (2013) Nutrition and nutraceutical supplements for the treatment of hypertension: Part I. , J Clin Hypertens (Greenwich) 15, 752-757.
- 9.Qureshi N A.Al-Bedah AM (2013) Mood disorders and complementary and alternative medicine: A literature review. , Neuropsychiatr Dis Treat 9, 639-658.
- 10.Jain S, Hammerschlag R, Mills P, Cohen L, Krieger R et al. (2015) Clinical studies of biofield therapies: Summary, methodological challenges, and recommendations. , Glob Adv Health Med 4, 58-66.
- 11.Rubik B. (2002) The biofield hypothesis: Its biophysical basis and role in medicine. , J Altern Complement Med 8, 703-717.
- 12.Trivedi M K, Patil S, Shettigar H, Mondal S C, Jana S. (2015) The potential impact of biofield treatment on human brain tumor cells: A time-lapse video microscopy. , J Integr Oncol 4, 141.
- 13.Trivedi M K, Patil S, Shettigar H, Gangwar M, Jana.S (2015)In vitroevaluation of biofield treatment on cancer biomarkers involved in endometrial and prostate cancer cell lines. , J Cancer Sci Ther 7, 253-257.
- 14.Trivedi M K, Branton A, Trivedi D, Nayak G, Mondal S C et al. (2015) Antimicrobial sensitivity, biochemical characteristics and biotyping ofStaphylococcus saprophyticus: An impact of biofield energy treatment. , J Women’s Health Care 4, 271.
- 15.Trivedi M K, Branton A, Trivedi D, Nayak G, Mondal S C et al. (2015) Evaluation of antibiogram, genotype and phylogenetic analysis of biofield treatedNocardiaotitidis. , Biol Syst Open Access 4, 143.
- 16.Trivedi M K, Branton A, Trivedi D, Nayak G, Charan S et al. (2015) Phenotyping and 16S rDNA analysis after biofield treatment onCitrobacterbraakii: A urinary pathogen. , J Clin Med Genom 3, 129.
- 17.Branton A, Jana S. (2017) The influence of energy of consciousness healing treatment on low bioavailable resveratrol in male Sprague Dawley rats. , International Journal of Clinical and Developmental Anatomy 3, 9-15.
- 18.Branton A, Jana S. (2017) The use of novel and unique biofield energy healing treatment for the improvement of poorly bioavailable compound, berberine in male Sprague Dawley rats. , American Journal of Clinical and Experimental Medicine 5, 138-144.
- 19.Branton A, Jana S. (2017) Effect of the biofield energy healing treatment on the pharmacokinetics of 25-hydroxyvitamin D3[25(OH)D3] in rats after a single oral dose of vitamin D3. , American Journal of Pharmacology and Phytotherapy 2, 11-18.
- 20.Trivedi M K, Branton A, Trivedi D, Nayak G, Gangwar M et al. (2016) Molecular analysis of biofield treated eggplant and watermelon crops. , Adv Crop Sci Tech 4, 208.
- 21.Trivedi M K, Branton A, Trivedi D, Nayak G, Mondal S C et al. (2015) Morphological characterization, quality, yield and DNA fingerprinting of biofield energy treated alphonso mango (Mangifera indicaL.). , Journal of Food and Nutrition Sciences 3, 245-250.
- 22.Trivedi M K, Branton A, Trivedi D, Nayak G, Mondal S C et al. (2015) Evaluation of plant growth, yield and yield attributes of biofield energy treated mustard (Brassicajuncea) and chick pea (Cicer arietinum) seeds. , Agriculture, Forestry and Fisheries 4, 291-295.
- 23.Trivedi M K, Branton A, Trivedi D, Nayak G, Mondal S C et al. (2015) Evaluation of plant growth regulator, immunity and DNA fingerprinting of biofield energy treated mustard seeds (Brassicajuncea). , Agriculture, Forestry and Fisheries 4, 269-274.
- 24.Trivedi M K, Tallapragada R M, Branton A, Trivedi D, Nayak G et al. (2015) Characterization of physical and structural properties of aluminum carbide powder: Impact of biofield treatment. , J Aeronaut Aerospace Eng 4, 142.
- 25.Trivedi M K, Nayak G, Patil S, Tallapragada R M, Latiyal O et al. (2015) Impact of biofield treatment on atomic and structural characteristics of barium titanate powder. , Ind Eng Manage 4, 166.
- 26.Trivedi M K, Patil S, Nayak G, Jana S, Latiyal O. (2015) Influence of biofield treatment on physical, structural and spectral properties of boron nitride. , J Material Sci Eng 4, 181.
- 27.Trivedi M K, Nayak G, Patil S, Tallapragada R M, Jana S et al. (2015) Bio-field treatment: An effective strategy to improve the quality of beef extract and meat infusion powder. , J Nutr Food Sci 5, 389.
- 28.Trivedi M K, Tallapragada R M, Branton A, Trivedi D, Nayak G et al. (2015) Biofield treatment: A potential strategy for modification of physical and thermal properties of gluten hydrolysate and ipomoea macroelements. , J Nutr Food Sci 5, 414.
- 29.Kinney J P, Trivedi M K, Branton A, Trivedi D, Nayak G et al. (2017) Overall skin health potential of the biofield energy healing based herbomineral formulation using various skin parameters. , American Journal of Life Sciences 5, 65-74.
- 30.Singh J, Trivedi M K, Branton A, Trivedi D, Nayak G et al. (2017) Consciousness energy healing treatment based herbomineral formulation: A safe and effective approach for skin health. , American Journal of Pharmacology and Phytotherapy 2, 1-10.
- 31.Yang Y S, Su Y F, Yang H W, Lee Y H, Chou J I et al. (2014) Lipid-lowering effects of curcumin in patients with metabolic syndrome: A randomized, double-blind, placebo-controlled trial. , Phytother Res PTR 28, 1770-1777.
- 32.Bunglavan S J, Garg A K, Dass R S, Shrivastava S. (2014) Effect of supplementation of different levels of selenium as nanoparticles/sodium selenite on blood biochemical profile and humoral immunity in male Wistar rats. , Vet World 7, 1075-1081.
- 34.Noeman S A, Hamooda H E, Baalash A A. (2011) Biochemical study of oxidative stress markers in the liver, kidney and heart of high fat diet induced obesity in rats. , Diabetol Metab Syndr 3, 17.
- 35.Weydert C J, Cullen J J. (2009) Measurement of superoxide dismutase, catalase and glutathione peroxidase in cultured cells and tissue. , Nat Protoc 5(1), 51-66.
- 36.Marklund S, Marklund G. (1974) Involvement of the superoxide anion radical in the autoxidation of pyrogallol and a convenient assay for superoxide dismutase. , Eur J Biochem 47, 469-474.
- 37.Young S G, Parthasarathy S. (1994) Why are low-density lipoproteins atherogenic?. , West J Med 160(2), 153-164.
- 38.Aktan B, Taysi S, Gumustekin K, Bakan N, Sutbeyaz Y. (2003) Evaluation of oxidative stress in erythrocytes of guinea pigs with experimental otitis media and effusion. , Ann Clin Lab Sci 33(2), 232-236.
- 39.Wang P TsayHJ, Wang S L.Ku HH(2000) Age-associated changes of superoxide dismutase and catalase activities in the rat brain. , J Biomed Sci 7(6), 466-474.
- 40.MR De la Torre, Casado A, López-Fernández M E. (1992) Superoxide dismutase (SOD) and aging. , Sangre (Barc) 37(3), 193-195.
Cited by (2)
This article has been cited by 2 scholarly works according to:
Citing Articles:
