The Interaction Model of Concentrated Solar Radiation with Materials
Abstract
The paper analyzes approaches to modeling the processes of interaction of concentrated solar radiation with materials. The experimental results obtained on the synthesis of materials from a melt in a solar furnace are presented. The features of the interaction of concentrated solar radiation with materials are analyzed. The mechanisms are described and a model for the interaction of concentrated solar radiation with materials is created. A feasibility study is proposed for the technology of glass-based glass materials obtained on the Big Solar Furnace.
Author Contributions
Academic Editor: Loai Aljerf, Department of Basic Sciences, Faculty of Dental Medicine, Damascus University, Damascus, Syria.
Checked for plagiarism: Yes
Review by: Single-blind
Copyright © 2020 Payzullakhanov M.S
This is an open-access article distributed under the terms of the Creative Commons Attribution License, which permits unrestricted use, distribution, and reproduction in any medium, provided the original author and source are credited.
Competing interests
The authors have declared that no competing interests exist.
Citation:
Introduction
Prospects for the development of energy and improving the efficiency of materials science are associated with the expansion of the use of renewable energy sources, in particular the energy of the Sun. Currently, worldwide attention is paid to the problems of obtaining materials with high mechanical and dielectric properties by the method of directed crystallization of the melt obtained using solar systems. In the field of creating materials based on solar technologies, it is noted that, unlike traditional sources of energy, such materials make it possible to increase the heating rate hundreds of times, obtain and fix melts with a certain composition of the cluster structure, and thereby obtain materials with specified mechanical and dielectric properties . In this aspect, the study of the processes of interaction of concentrated solar radiation with materials is considered one of the main and urgent tasks of creating a new type of materials.
Methods based on high-density energy, such as lasers, plasma and electron beam or arc technologies used in surface treatment of materials to increase their resistance to abrasion and corrosion, have low efficiency. In 1999, the French physicist Flamant, from an analysis of the efficiency of using laser, plasma and solar technologies, showed that solar technologies have high technical and economic efficiency in the synthesis of high-temperature materials 1.
In this regard, the use of concentrated, environmentally friendly solar energy, through the affinity of installations based on mirror-concentrating systems - solar installations, is gaining importance. Studies conducted at the Institute of Materials Science of the National Academy of Sciences of Ukraine (Pasychny VV, 2006) showed the promise of processing industrial waste in a stream of concentrated solar radiation, allowing to obtain nanoscale powders of materials 2.
In this work, we studied the material synthesized from a melt in a solar furnace with a thermal power of 1 MW. As you know, the Big Solar Furnace (BSF) in the city of Parkent city (Uzbekistan) is a unique tool for conducting full-scale research in the field of high-temperature synthesis of materials, conducting high-temperature research and testing of various materials and components of equipment. BSF is a complex optical-mechanical complex with automatic control systems, consisting of a heliostat field (62 heliostats) and a paraboloid concentrator, forming a stationary high-density energy flow in the focal zone of the concentrator (up to 600 W / cm2) (Figure 1). The reflecting surface area of the heliostatic field is 3020 m², the concentrator is 1840 m². The height of the concentrator is 54 m, the width is 47 m. The temperature at the focus of the rays of the concentrator exceeds 3000° C. It is possible to cool the melt at different speeds 3.
Figure 1.Large Solar Furnace with a thermal power of 1 MW.
When heated, in the stream of concentrated light radiation, special technological conditions of synthesis are formed, which can be used to obtain materials with desired properties. The spectrum of concentrated light radiation when using mirror concentrators covers the range from near IR (λ = 2-3 μm, quantum energy to 0.4-0.6 eV) to near UV (λ = 0.3-0.4 μm, quantum energy up to 3-4 eV). Therefore, if the band gap of the oxide material is more than 4 eV, all solar energy penetrates into the volume of the material and energy absorption occurs due to defects with levels inside the band gap. With a decrease in the band gap of the material, an increasing part of the solar energy is absorbed in a thin surface layer of the material, and with metallic conductivity, solar energy is absorbed only in a thin surface layer, generating giant temperature gradients in the material. Reflection of light at the air - oxide interface also takes place. After melting with the formation of a clear boundary of the liquid phase, reflection can play a noticeable role in the synthesis of materials. The presence of a liquid phase promotes the transfer of matter between the grains, the complete course of the reaction.
In solar smelting, heating of the material occurs until the stream of thermal radiation of the heated material is equal to the incident stream of concentrated solar radiation. As is known, the heat flux E of an absolutely black body, according to the Stefan-Boltzmann law:
The emissivity of heated bodies, as well as the integral degree of blackness of the material at high temperatures, is an important factor in planning experiments with solar melting. By definition, the integrated degree of blackness is Ԑ=σ/σ0, where s is the radiation coefficient, W / m2K4. The values of s and ε depend on temperature, body structure, state, structure and color of the surface and can be determined experimentally.
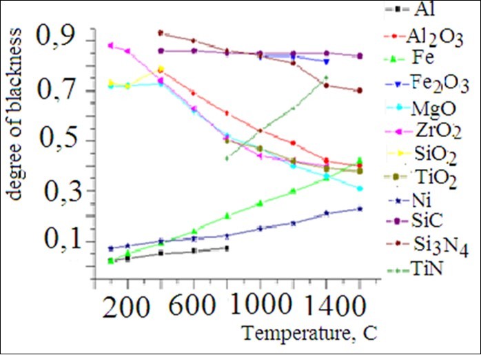
(Figure 2) shows the values of the integral degree of blackness for metals and oxides.
Figure 2.Integral degrees of blackness for metals and oxide materials.
It can be seen that the integral degree of blackness of metals has a low value of up to 0.2 and increases with temperature, and for oxides, the degree of blackness is higher than 0.7 and, as a rule, decreases. At high temperatures, the blackness of metals and oxides converge! The spectral features of the absorption and radiation of bodies in the visible and infrared, as is known, are explained on the basis of band theory.
For oxides of magnesium and silicon, there are areas of increasing degree of blackness. Impurities significantly change the degree of blackness and the boundary and direction of phase transitions in materials. In perfectly crystalline materials, the electron density of states depends on energy, and there are possible and forbidden energy bands. In metals, electrons fill one part of the energy zones. Electrons populate the upper part and can participate in conduction, being only in the conduction band. The Fermi level, in this case, is located in the middle, between the zones. In real materials, ideality is violated by shallow and deep impurities, precipitates, structural defects, such as vacancies, divacancies and interstitial atoms, surface states between grains, etc. All of them form electronic states and contribute to the energy density distribution of states. It is well known that the solubility of shallow and deep impurities is usually limited (up to 1020 and up to 1016 cm-3, respectively). Such defects form local energy levels in the band gap and contribute to a qualitative change in the band structure of materials at temperatures close to the melting temperature. At the zone boundaries at temperatures of 300K and 2300K, the densities of states differ by a factor of 30 (Table 1).
Table 1. The density of states near the edges of the dielectric zones| T,K | 200 | 300 | 773 | 1073 | 1173 | 1273 | 1573 | 1673 | 1773 | 1873 | 2273 | 2573 |
| E, Вт/см2 | 0.01 | 0.05 | 2.0 | 7.6 | 11 | 15 | 34.7 | 44.4 | 56.0 | 69.78 | 150 | 250 |
| N*10-20cm-3 | 0,13 | 0,24 | 1 | 1,7 | 1,9 | 2,2 | 3,0 | 3,28 | 3,58 | 3,89 | 5,2 | 7,2 |
The maximum concentration of fine impurities is about 1020 cm-3, and deep impurities -1016 cm-3, and, therefore, for crystalline material there is a special distribution of the density of states in the band gap. The process of melting the material under the action of concentrated light radiation, in contrast to electric heating, is caused by the absorption of light from the visible spectrum on structural defects, mainly in the area of intergranular space, infrared in the volume and ultraviolet on the surface layer.
The different nature of the process of melting the feedstock of different dispersion in an electric and solar furnace, which we noted during the experiments, shows that the absorption of light of the visible spectrum on structural defects occurs mainly on the surface layer and in the intergranular space. In contrast to infrared heating, during synthesis, layer-by-layer melting is observed on a solar furnace due to heating due to light absorption at defects with levels of the forbidden zone at grain boundaries in a layer of thickness λ. Materials with small grains warm up faster and melt at a low flux density. In the course of exposure to a stream of concentrated solar radiation, solid-state reactions occur as a result of heating.
Upon reaching a temperature of Tm, the synthesized material melts. The melting process can be described by the following energy balance equation:
Q= A + К, where A = Qirad. + Qmelt =esТ4 +lТ, К=Qconv
The energy of concentrated solar radiation is spent on absorption (A), leading to heating, thermal radiation, melting and convective losses. The role of convective losses associated with the entrainment of heat by the air is relatively insignificant.
The features of the technology of solid-phase sintering of ceramics and the melt sintering technology of glass-based glass materials obtained by exposure to concentrated light radiation are analyzed. The analysis shows that the inevitable stage of solid-phase synthesis at temperatures Ts is less than the melting temperature (Tm), i.e. (0.5–0.7) Tm, diffusion of atoms of one of the components (or atoms of both components) through a layer of solid reaction products serves. The diffusion coefficients in solids are usually small (10–6–10–12 cm2 / s), and, diffusion limits the rate of the solid-phase reaction, the reaction product usually contains an admixture of unreached components, i.e. not homogeneous. In melts, the diffusion rate is much higher, the liquid can be intensively mixed by force, or due to convection, as a result of which the reaction rate increases even more. Chemical equilibrium, in this case, is established in a time from several seconds to several minutes. In addition, the liquid reaction products can then be crystallized and thereby increase their chemical purity and structural perfection.
A unified model of the structure of melts has not yet been formulated. It is believed that the fraction of clusters is also significant in states of overheating of melts. Thus, it can be assumed that the cluster structure can be transferred to the material obtained by crystallization. Such a material has enhanced properties compared to a material obtained under conditions of solid phase sintering. The interaction of concentrated light radiation with materials is based on absorption of radiation energy from structural defects at grain boundaries. The number of boundaries depends on the dispersion of the material. The finer the grain, the greater the number of boundaries between them. So, material with small grains will more intensively absorb the energy of light radiation and heat up. The small grain size leads to a large development and length of grain boundaries 4, 5, 6.
Researches and literature analysis showed that knowledge of the physical basis of the processes of interaction of concentrated solar radiation with matter plays an important role in the synthesis and heat treatment of materials. However, due to the complexity, this problem has not been practically studied; there is very scarce data both in terms of interpreting physical processes and in terms of constructing a mathematical model. Therefore, the study of this problem is an urgent task of our time.
It should be noted that the structure of substances cannot yet be fully described, statistical parameters (enthalpy, entropy) do not allow tracking the local evolution of a substance under the influence of radiation, although it has long been proposed to transfer the formalism of the coherence theory to the description of matter 7. For radiation, in such experiments as interference, diffraction, polarization, dispersion, the wave properties of light are manifested and wave characteristics are used to describe light: λ, ν (spectral composition of radiation). In the effects of quantum optics, such as thermal radiation, the photoelectric effect, the photochemical effect of light, the pressure of light, the Compton effect, light manifests itself as a particle and particle characteristics are used to describe it - mass, momentum. The development of optics, the totality of optical phenomena, showed that the continuity properties characteristic of the electromagnetic field of a light wave should not be opposed to the discrete properties characteristic of photons. Light has complex wave-particle properties, i.e. possesses both wave and quantum properties - particle-wave duality (duality) of the properties of light. As for matter, in some cases its quantum nature is manifested - under the influence of the radiation field, transitions occur between the energy levels of the particles of which this substance consists. This usually occurs when the radiation frequency coincides with the transition frequency.
The same effects occur during interband absorption in semiconductors and dielectrics, when electron-hole pairs are produced, or during impurity absorption, when an electron is generated in the conduction band or a hole in the valence band. In this case, one has to resort to a quantum-mechanical description. If the quantum nature of the substance does not appear, then it is much easier to consider on the basis of the classical description, using macroscopic characteristics, such as dielectric constant, magnetic constant, conductivity, etc. When it comes to the interaction of radiation with matter, a semi-classical description is often used: the substance is considered as a quantum system and the corresponding physical quantities are replaced by operators, and the radiation field is considered classically, based on Maxwell's equations.
The main problem is, of course, the lack of a single formalism for the simultaneous description of both matter and radiation. This is especially true for the situation when the phenomenon occurs in the region that is transitional from quantum-mechanical to classical scales, which is characteristic of most optical phenomena, as was recently shown in the modern theory of quantum measurements 8. Hence the complexity of the problem. In this sense, the problem of creating a theory of the process of the interaction of radiation with matter is very far from its solution.
It is well known that the electromagnetic field in any medium in the classical description is determined by setting the vectors of electric strength E and magnetic H fields, as well as vectors of electric D and magnetic induction B (Maxwell's equation). The Maxwell equations themselves do not form a closed system, on the basis of which it would be possible to calculate the fields in the crystal. These equations reflect only the influence of the crystal on the propagation of electromagnetic radiation in it. In its most general form, this dependence is determined by the equations of quantum mechanics that describe the effect of an electromagnetic field on the motion of crystal charges. However, the solution of these equations and finding on their basis the functional relationship between the physical characteristics of the crystal and the field strengths is a very difficult task.
One of the options for constructing the achievement of such a goal may be to use the formalism of statistical physics and fluid theory. By the way, we note that the use of the theory of integral, and, in particular, Fourier, transformations in statistical physics and fluid theory allows us to talk about an analogy between the phenomena described in them with the processes of wave field formation in Fourier optics and apply a number of results , for example, in computer optics 9.
Thanks to the advent of lasers, the theory of the interaction of radiation with substances received a certain impetus to development. For some types of lasers and substances, mathematical models of these processes have been developed. The literature contains the development of a mathematical model and an algorithm for calculating the temperature distribution in complex multilayer systems under the influence of laser radiation. These models are based on the finite-difference method and take into account the anisotropy of the optical and thermal parameters of the structure of materials. Typically, the model is two-dimensional and non-stationary and allows you to simulate the interaction of various types of laser with substances.
References
- 1. (2006) Nanostructure Materials for Solar Energy Conversion.// Edited by Tetsuo Soga. Amsterdam.Elsevier B.V. 600.
- 2.V, V S Korchemnaya, S A Ostapenko, M S Pasichnaya. (2006) Study of the process of processing the pseudo-alloy W-Cu (5%) in a solar furnace. // Electrical contacts and electrodes. 272-277.
- 3.Akbarov M S Paizullakhanov R Y.Characteristic features of the energy modes of a large solar furnace with a capacity of 1000 kW//. , Applied Solar Energy 54(2), 99-109.
- 4.Paizullakhanov M S, Faiziev S A, ZZ Shermatov Nurmatov.Synthesis features of barium titanate in the field of concentrated light energy. , Applied Solar Energy 49(4), 248-250.
- 5.Atabaev I G, Faiziev S A, Paizullakhanov M, Shermatov Z Z, Razhamatov O.High-strength glass-ceramic materials synthesized in a large solar furnace//. , Applied Solar Energy 51(3), 202-205.
- 6.Riskiev T T, Paizullakhanov M S, Atabaev I G, Faiziev S A, Shermatov Z Z.The effects of the solar radiant flux density on the properties of pyroceramic materials//Applied. , Solar Energy 50(4), 260-264.
