Journal of Veterinary Healthcare

Journal of Veterinary Healthcare

Journal of Veterinary Healthcare

Current Issue Volume No: 1 Issue No: 1

Research Article Open Access Available online freely Peer Reviewed Citation

Natural Infection by H1-Like Influenza a Virus in South American Camelids from Argentina: Serological Evidences.

Article Type: Research Article

1National Council of Scientific and Technical Research - CONICET, Buenos Aires, Argentina.

2Center for the Study of Marine Systems (CESIMAR-CONICET), Puerto Madryn, Chubut, Argentina.

3Institute of Virology. CICV and A, INTA, Castelar, Buenos Aires, Argentina.

4National Institute of Infectious Diseases (INEI) - ANLIS Dr. Carlos G. Malbrán, Buenos Aires, Argentina.

5EEA INTA Abrapampa, Jujuy, Argentina

6Department of Biotechnology, Instituto Nacional de Investigación y Tecnología Agraria y Alimentaria (INIA), Autovía A6, Km 7.5, 28040 Madrid, Spain

Abstract

Serum samples from wild and domestic South American Camelids (SAC) from Argentina, collected before (2008), during (2009) and after (2010) the 2009 H1N1 influenza pandemic were tested by hemagglutination-inhibition assay (HIA) to evaluate the seroprevalence of antibodies (Ab) against different subtypes of influenza A viruses: A(H1N1)pdm09, A/sw/Argentina/SIV/2009(H3N2) and A/eq/Argentina/97(H3N8). For A(H1N1), an ELISA using a recombinant H1-hemmaglutinin from a reference strain (HA0 PuertoRico/8/1934) was also conducted. Serum samples from Guanacos (126), vicugnas (21) and llamas (100) from Jujuy, Mendoza and Río Negro provinces were analyzed; no clinical signs of respiratory disease were detected, reason for which no nasal swabs were obtained. No seropositive reactors to H3N2 nor H3N8 variants were detected, nevertheless high incidence of Ab reactive to A(H1N1)pdm09 were found by HIA; results which were confirmed by ELISA. The Ab seropositive animals to H1-like IAV found in llamas from Jujuy, and Mendoza (2009) were 78% and 86% by HIA and ELISA, respectively. Thirty-seven samples taken over the three years from guanacos kept in captivity in Rio Negro showed 62% of seropositive animals, while wild guanacos from Mendoza sampled in 2010 showed 36% seropositive animals to H1-like IAV, by both techniques. Finally, wild vicugnas from Jujuy, sampled in 2008 showed 38% and 52% seropositive animals to H1-like IAV by HIA and ELISA, respectively. Our results could indicate the potential role of these species as a reservoir of this zoonotic viral agent of high impact in Public Health, and may suggest that SAC populations might have been infected with an influenza strain antigenically related to H1 IAV. . Surprisingly, for llama and guanaco populations sampled over time in Jujuy and Río Negro, respectively, the HIA and ELISA geometric mean Ab titers (GMT) for 2008 were significantly higher than the ones of 2010. In addition, HIA and ELISA Ab titers found in domestic llamas were significantly higher than those detected in wild vicugnas sampled during that year (2008) in Jujuy. New field campaigns are in progress to collect serum samples and nasal swabs in order to isolate and characterize the virus responsible for triggering H1 reactive Abs. These findings remark the need to better understand the dynamics and ecology of influenza A virus within Sacs populations.

Author Contributions
Received 14 Jun 2017; Accepted 17 Aug 2017; Published 29 Aug 2017;

Academic Editor: Mohamed Zowalaty, Virology, Microbiology and Infectious Diseases (VMID) Research LaboratoryBldg E4 Room 505 School of Health SciencesUniversity of KwaZulu-NatalWestville Campus, Durban 4000, Private Bag X54001South Africa

Checked for plagiarism: Yes

Review by: Single-blind

Copyright © 2017 Elena Barbieri,et al.

License
Creative Commons License     This is an open-access article distributed under the terms of the Creative Commons Attribution License, which permits unrestricted use, distribution, and reproduction in any medium, provided the original author and source are credited.

Competing interests

The authors have declared that no competing interests exist.

Citation:

Elena Barbieri, Elsa Baumeister, Sandra Romero, José Ángel Martínez Escribano, Mariana Puntel et al. (2017) Natural Infection by H1-Like Influenza a Virus in South American Camelids from Argentina: Serological Evidences.. Journal of Veterinary Healthcare - 1(1):21-38. https://doi.org/10.14302/issn.2575-1212.jvhc-17-1661

Download as RIS, BibTeX, Text (Include abstract )

DOI 10.14302/issn.2575-1212.jvhc-17-1661

Introduction

Influenza A virus (IAV, Orthomyxoviridae) is the most challenging virus that emerges and re-emerges due to its ability to rapidly evolve as a consequence of well characterized processes of genetic reassortment resulting from coinfection of more than one strain in a same host; and antigenic drift in response to preexisting immunity 1, 2 or antiviral drug pressure leading to resistance 3 the latter ones considered environmental factors. Influenza A virus, whose ancestral host was aquatic birds, have spread to many other species including domestic poultry, horses, swine, humans and even fruit bats 4, 5. It is considered to be one of the greatest threats for the next global pandemic given the abundance of permanent animal reservoirs harboring viruses that occasionally spill over into humans 6, 7, 8. Influenza A virus is further divided into subtypes based on antigenic differences in the membrane proteins hemagglutinin (HA) and neuraminidase (NA). So far, a total of 18 different types of HAs (H1-H18) and 9 NA (N1-N9) have been identified 9. While different combinations of the two proteins appear more frequently in some groups of birds than others, only few subtypes have established themselves in humans (HA: H1, H2, and H3; NA: N1 and N2) 10; as well, H17 and H18, N9, N10 and N11 have been recently found in bats 11, 12, 13.

There is plenty of evidence of various mammalian species, including Camelids, being naturally infected with IAV. Evidences of infection of Mongolian camels with Influenza A Virus (IAV) was reported in 1979 14. A strain of IAV that caused illness in both Bactrian camels and human populations has been isolated also in Mongolia during an outbreak registered in 1979-83 15. Years later, it was found one Bactrian camel in Mongolia positive for influenza A H3N8 virus phylogenetically related to equine influenza A (H3N8) virus, representing a possible natural transmission 16. Particularly, in South American Camels (SAC) there is evidence also that human influenza A virus infected two llamas at the Zoo in Santiago, Chile 17 and studies on Peruvian Southern Sierra 18 revealed that Alpaca (Lamapacos), another species of SAC, can be also infected with influenza A virus.

South American Camelids (SAC) are the most important large mammalian herbivores native in the continent, and represent a source of livestock populations for the Andean countries of important commercial and cultural value. SAC are classified in four species of the genus Lama: the wild guanaco (Lamaguanicoe) and vicugna (Vicugnavicugna), and the domestics llama (Lamaglama) and Alpaca (Vicugnapacos) 19, 20, 21, 22, 23. The SAC populations in Argentina is estimated according to the reports of FAO 2005: 33500 Vicugnas; 161402 Llamas and 455446 Guanacos 24. Recent studies on the phylogenetic of SACs on mitochondrial deoxyribonucleic acid (DNA) strongly indicate that the Alpaca evolved from the wild Vicugna and the Llama from the wild Guanaco 25 after 5000 years of domestication 26. They present a wide distribution along the Andes and play an important role on Andean communities: providing meat, milk, fiber and serving as beasts of burden to carry loads.

Some studies in domestic SAC population revealed serological evidence of exposure to different virus strains: Group A Rotavirus (RVA), bovine parainfluenza-3 virus (BPIV-3), bovine herpesvirus-1 (BoHV-1), bovine viral diarrhea virus (BVDV), foot-and-mouth disease virus (FMDV), bluetongue virus (BTV), bovine enterovirus (BEV), bovine adenovirus (BADV III), influenza A virus (IAV), and equine herpesvirus-1 (EHV-1) most from animals without clinical presentation of disease 17, 18, 27, 28, 29, 30, 31. Up to now, there are only isolated reports giving serologic evidence of influenza A infections in domestic SACs (Rivera et al., 1987; Riveros et al., 1987). The aim of the present study was to evaluate the presence of antibodies against three influenza A strains, relevant for human and animal health (H1N1, H3N8 and H3N2), in serum samples of three species of SACs (llamas, guanacos and vicugnas) selected from the collection of the Viral Diagnostics Service at the Virology Institute, INTA; covering H1N1 pre-pandemic (2008), pandemic (2009) and post-pandemic (2010) time frame. The H1N1 strains were included in order to evaluate the epidemiological impact of the human pandemic in these SAC species, the seasonal strain H3N2 was included since it represents a transmission from human to an animal species (porcine) Pereda et al, 2011. Finally, since these populations of SACs are frequently found living in sympatry with donkeys, the prevalent variant of IAV affecting horses (H3N8) was also included in the study.

The samples derived from llamas, vicugnas and guanacos populations, originally located in two different ecological regions of Argentina: the Andean Puna, specifically at Jujuy province (22°71´ - 65°7´), and Patagonian Steppe, in two strategic sites: La Payunia, provincial park in Mendoza province (36°30´ - 69°13´), and nearby San Carlos de Bariloche city, in Río Negro province (41°08´ - 71°18´). In order to evaluate the relevance of the obtained results is important to address the different types of SAC populations study: domestic llamas, guanacos raised under captivity and two populations of free ranging guanacos and vicugnas.

Material and Methods

Serum Samples

Serum samples (n = 247) from three SAC species living in Argentina at three geographical locations corresponding to the Andean Puna (Abrapampa, Jujuy), and ecological region of patagonian steppe (Payunia, Mendoza and San Carlos de Bariloche, Río Negro) collected in different field campaigns conduced in 2008, 2009 and 2010, were analyzed (Table 1). Twenty-one serum samples belonged to a vicugna population from Abrapampa INTA Experimental Station, Jujuy. Specimens from this population were obtained during a capture conducted in 2008. Two different populations of guanacos were included in the study. Thirty-seven samples from a guanaco population raised under captivity at Bariloche INTA Experimental Station, were obtained over the three years of study. Another 89 samples from a population of free-ranging guanacos original from La Payunia Province Park, Mendoza, were sample during a capture conducted in 2010. In the case of the two free-ranging populations of SACs, vicugnas from Jujuy and guanacos from Mendoza, animals are gathered, every year or every two years, using an ancestral capture technique named Chaku(name given to a variety of llama). The animals are shaved to collect their fine fiber and then released. During these campaigns, serum samples are taken for sanitary studies. Finally, a total of 87 llamas (domestic SAC), from the Abrapampa INTA Experimental Station, Jujuy were sample along the three years and 13 llamas from La Payunia Province Park sampled in 2009, were also included in the analysis (Table 1). Blood samples were obtained by venipuncture extraction. Serum samples were separated by centrifugation (15 minutes at 2000 rpm), then preserved in aliquots at -20°C until processed. It is important to notice that the samples were collected out to opportunity and there was no epidemiological design. For emphasizing, this type of study is very high cost and difficult to carry out because of climate condition and the huge distances within our country, and the special techniques needed to gather wild vinugnas and guanacos, so its represents an important point to be consider in these results.

Table 1. Location of the domestic and wild SAC populations included in the study to determine the seroprevalence of antibodies against influenza A.
SAC species n Geographical distribution Years
Province Location Lat(S)-Long(W) 2008 2009 2010
Llamas 87 Jujuy Abrapampa 22°71´ - 65°7´ 27 13 47
13 Mendoza La Payunia 36°30´ - 69°13´ 13
100 27 26 47
Guanacos 89 Mendoza La Payunia 36°30´ - 69°13´ 89
37 Río Negro Bariloche 41°08´ - 71°18´ 11 10 16
126
Vicugnas 21 Jujuy Abrapampa 22°71´ - 65°7´ 21
Total 247 59 36 152

Influenza A Virus Strain

Serum samples were tested against three IAV strains that were detected in humans and others animal species from Argentina during the same time frame of sampling. The strains of IAV used for the serological determination were: Human A/Argentina/017/2009 H1N1pdm, obtained from the National Institute of Infectious Diseases (INEI, ANLIS Malbrán, Argentina); A/eq/Argentina/97(H3N8) equine which was kindly provided by Dr. Barrandeguy, Equine Diseases Group (Institute of Virology, INTA), and a strain which was isolated from a swine farm during the pandemic event in Argentina in 2009 (A/swine/Argentina/SIV/2009 (H3N2)), provided by Dr. Pereda, Swine and Avian Influenza viruses Group (Institute of Virology, INTA, Argentina). All three viruses were multiplied in Madin-Darby canine kidney cells (MDCK) which were maintained in Dulbecco´s modified Eagle´s medium (D-MEM) supplemented with 10% FBS penicillin/streptomycin (100ug/ml). The MDCK cell line was provided by the Tissue Culture Laboratory of INTA. IAV strains multiplication was performed in the absence of fetal bovine serum, with the addition of 0.2% Bovine Serum Albumins, 25mM HEPES, and 20ug/ml tosyl sulfonyl phenylalanyl chloromethyl ketone (TPCK)-treated trypsin 33.

Recombinant Hemagglutinin

Specifically for H1N1 strain, the protein used for the ELISA method described here, was a fragment corresponding to a highly conserved region among sequences of hemagglutinin Influenza A virus (A/Puerto Rico/8-MC/1934(H1N1)) (accession no. ADX99484.1).

This recombinant Hemagglutinin (HA0) protein was provided by PhD. Jose Angel Martinez Escribano (National Research Institute and Agricultural and Food Technology INIA-ALGENEX SA, Madrid, Spain). Recombinant HA0 was expressed in Trichoplusiani infected with recombinant baculovirus (IBES Technology), and purified by a metal affinity chromatography (IMAC) using the cobalt ions loaded HisPure® CobaltResin (Thermo Scientific).

Hemagglutination Inhibition Assay (HIA)

Pre-treatment of serum samples: the undiluted serum samples were heated at 56°C for 30 minutes under shaking conditions for complement inactivation. Then, sera were hemoadsorbed with 10 ul of guinea pig/avian red blood cells (RBC), a volume of kaolin (8 mg/ml in PBS pH 7.4) was added and incubated at room temperature for 12 minutes. Finally, sample tubes were centrifuged 15 minutes at 2500 rpm. The starting dilution of serum for HIA was 1:10. The assay was performed following the standard protocol recommended by the World Health Organization 33 to test serum antibodies against the three IAV strains mentioned before. Briefly, the hemagglutination inhibition (HI) assay (HIA) was performed using two-fold serial dilutions of the pretreated sera in PBS pH 7.4. The serum dilutions were incubated with eight hemmaglutination units (HAU) of the different virus strains per well, followed by the addition of guinea pig erythrocytes to a concentration of 75% (v/v) for human influenza A virus. In order to adapt this technique for detection of HI specific antibodies against the equine and swine IAV strains, avian erythrocytes were added to a final concentration of 50% (v/v). The plates were incubated at room temperature for 30 minutes. Sera were pretreated with heat, RBC and Kaolin adsorption. The HIA Ab titers were expressed as the reciprocal of the highest dilution of serum that completely inhibited antigen-induced hemagglutination multiplied by 8 -e. i. hemmaglutination inhibition units (HIU). Serum from a hyper-immunized llama with human influenza A vaccine (Novartis®, HIU: 40960) was included as positive control while a non-immunized llama serum was included as negative control of the assay. WHO guidelines for vaccine evaluation suggests that HIA Ab titers of 40 indicate 50% protection against influenza A virus in humans 34, 35. Therefore, we defined HIA antibody titers >40 as the cut-off point to estimate antibody seroprevalence in the populations under study for the three strains tested 27, 36.

Although the HIA is considered the best technique for serologic diagnosis of infection with influenza viruses, the assay has been reported to be less sensitive for detecting antibody responses to avian viruses in mammalian sera 37, 38 and it is well known that HIA is less sensitive than ELISA, thus ELISA using a H1 recombinant HA0 protein in all the samples in order to confirm the HIA results. Additionally, for 58 samples an ELISA against the complete H1N1pdm virus was also performed.

HA0 ELISA A/Puerto Rico/1934.

A recombinant hemagglutinin A of the virus HA0 A/Puerto Rico/1934(H1N1)(ALGENEX SA) was used. Ninety six flat bottom well Maxisorp ELISA plates (NUNC, Thermo Scientific, U.S.) were coated with 100 ul of a solution of HA0 (0.5 ug/well diluted in carbonate buffer pH 9.6) and incubated overnight at 4 ºC. Excess of antigen was removed by successive washing steps with washing buffer (0.1% Tween 20-PBS). Blocking buffer was performed using 2% BSA in 0.1% Tween 20-PBS and incubated for 1 h at 37 ºC; then, wells were washed repeatedly with washing buffer. A volume of 100 ul of the serum sample was added to each well to test for H1-specific antibodies. Serial two-fold dilutions of each serum sample made in PBS were tested by duplicated (1:256, 1:512, 1:1024, and 1:2048), and for positive and negative controls four-fold dilutions were tested from 1:256 to 1:32768. There were incubated at 37°C for 1h, after this, wells were washed repeatedly with washing buffer. To reveal the amount of antibody specifically bound in each well, a volume of 100 ul/well of an anti-Llama peroxidase-labeled (Bethyl Labs, U.S.) at a 1:1500 dilution, in blocking buffer, was added. Following incubation at 37 °C for 1 h, the plates were washed with washing buffer and the assay was developed with commercial ABTS (2,2azinobis(3-ethylbenzthiazolinesulfonicacid) KPL, U.S.) /H2O2 substrate, added at 100 ul/well. The reaction was stopped by addition of 50ul/well of SDS 5%. The absorbance at 405nm was read in an ELISA reader (Multiskan EX, Thermo scientific) and averages of duplicates were used in the calculation of the values. Samples were designated positive when the measured absorbance at Abs405nm exceeded the cut off of the assay, defined as the absorbance of the blank wells plus 3 standard deviations (SD).

A/Argentina/017/2009 (H1N1) pdm ELISA

The ELISA was performed for SAC serum samples as described above using complete virus. Briefly, ninety six flat bottom well Maxisorp ELISA plates (NUNC, Thermo Scientific, U.S.) were coated with 100 ul of virus (positive wells) or mock infected MDCK cells (negative wells) diluted in carbonate buffer pH 9.6 (1/32 HA titer). Samples were designated positive when the corrected absorbance (positive minus negative wells) measured at Abs405nm exceeded the cut off of the assay, defined as the corrected absorbance of the negative control wells (negative serum and blank) plus 3 SD. A total of 58 serum were tested by this ELISA, there were included positives and negatives samples tested previously by ELISA-HA0.

Statistical Methods

Serum samples with a HIA Ab titers > 1:40 were considered positive -i. e. evidence of infection with IAV. Serum samples with ELISA Ab titers to H1 HA0 ≥ 1:256 were considered as positive sample using previous data and control samples 27. The agreement of both techniques to classified a sample as positive or negative was compared using Fisher’s exact test and the calculation of The Weighted Kappa Cohen’s coefficient (p<0.05). Differences in geometric mean (GM) Ab titers among groups were evaluated by the Non-parametric Kruscal-Wallis Rank Sum Test. When differences among groups were found, a Dunnet post ANOVA test was performed 39. Statistical Analysis was conducted using Graphpad Prism sofware (5.01).

Results

During this study, blood samples from 247 SAC (Table 1) corresponding to three representative locations of Argentine were sampled. Llamas, representing domestic SACs, are distributed along the country. We analyzed samples from two sampling sites: in the north of the Argentinean Andean Puna, at INTA Experimental Station in Abrapampa, Jujuy (22°71´ - 65°7´), and in the middle, at La Payunia Natural restricted area, in Mendoza (36°30´ - 69°13´). The population of llamas from Abrapampa were sampled during the three years of the study, 2008, 2009 and 2010, (different specimens each year), while llamas from La Payunia could be sampled only in one opportunity during 2009, coinciding with the peak of the IAV pandemic in humans. Populations of free-ranging vicugnas are restricted only to the Jujuy province and it is usually very difficult to access the place where these animals live at more than 3000 meters over the sea level; therefore, vicugnas were sampled only in a Chaku conducted in 2008. Populations of free-ranging guanacos are distributed from the middle of the country, in La Payunia, Mendoza to the very south all over the Patagonia region; the populations sampled for this study were captive guanacos from Bariloche, in Rio Negro province (41°08´-71°18´), Patagonia; and free-ranging guanacos from La Payunia in Mendoza, Cuyo region. The total of animals sampled were 247, discriminated in 100 llamas, 126 guanacos and 21 vicugnas (Table 1).

At the sampling time, the animals did not present any clinical signs of respiratory diseases, reason for which nasal swabs were not collected. No serum samples were found to be seropositive against swine H3N2 and equine H3N8 IAV strains by HIA; however, there were positive reactor for antibodies to H1N1 by this technique. These unexpected results were confirmed by two ELISA assays, one using the whole H1N1 virus (in a reduced number of samples, n= 58) and other using a H1 recombinant HA0 (all the samples). There was a complete agreement of sample classification between both ELISAs for Ab to H1 IAV (data not shown). The rates of seropositive animals at different locations are detailed in Table 2. About 60% of the total sampled animals had serum Ab against H1 (virus and recombinant protein), 57% detected by HIA, and 60% by H1 HA0-ELISA.

Table 2. Annual antibody seroprevalence for each SAC species at the different Location sampled by HIA and H1 (HA0) ELISA.
SAC species Location Years Total
2008 2009 2010
HIA ELISA HIA ELISA HIA ELISA HIA ELISA
Lama glama Jujuy 26/27 27/27 13-Dec 13-Dec 27/47 40/47 65/87 79/87
96,3% 100% 92,3% 92,3% 57,4% 85,1% 74,7% 90,8%
Mendoza 13/13 7/13 13/13 7/13
100% 54 100 % 54 %
Sub total 96,2% 73,1% 78,0% 86,0%
Lama guanicoe Mendoza 32/89 29/89 32/89 29/89
36,0% 32,6% 36,0% 32,6%
Río Negro 11-Nov 11-Nov 0/10 0/10 16-Dec 16-Dec 23/37 23/37
100% 100% 0% 0% 75,0% 75,0% 43,7% 41,3%
Sub total 35,2% 33,6% 43,7% 41,3%
Vicugna vicugna Jujuy 8/21 11/21 8/21 11/21
38,1% 52,4% 38,1% 52,4%
Total animals per year 45/59 49/59 25/36 19/36 71/152 81/152 141/247 149/247
76.30% 83 % 69.40% 52.80% 46.70% 53 % 57 % 60 %

The overall H1 Ab incidence found in domestic llamas from Jujuy and Mendoza were high, 78% and 86% by HIA and H1 HA0-ELISA, respectively. The guanacos from Rio Negro, belonging to a captive population in close contact with humans, showed 62% overall Ab percentage. However, it is important to highlight that 100% of the animal sampled in 2008 and the 75% of the animals sampled in 2010 were positive while the animals sampled in 2009 were all negative (Table 2). On the other hand, free-ranging guanacos sampled in Mendoza, in 2010, showed a lower incidence (36% - 33%, depending the technique). Finally, free ranging vicugnas from Jujuy, sampled in 2008 showed 38% and 52% Ab percentage of seropositive animals to A(H1N1) by HIA and H1 HA0 ELISA, respectively.

The serum samples of the three SAC species were also used to evaluate the concordance between the HI and ELISA assays to classify positive reactors to Ab to IAV. The concordance between HI and H1 HA0-ELISA technique was 83.4% with a Kappa value of 0.67, p<0.05 substantial agreement (Table 3).

Table 3. Evaluation of concordance between the two serological techniques (ELISA and HIA) used to evaluate the circulation of Influenza A virus in South American Camelids population living in Argentina.
ELISA (recomb HA0 A/PR/8/1934)
+ -
HIA (A/Argentina/017/2009) + 125 16 141
- 24 82 106
149 98 247
P(a) 0.838
K= 0.666
*p<0.05

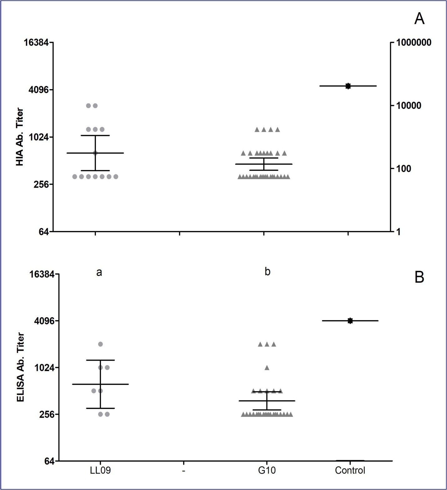
The distribution of GM Ab titer determined by HIA and H1 HA0 ELISA for the different SAC species within the three sampling regions are depicted in Figure 1, Figure 2 and Figure 3. In Figure 1 are shown the GM of serum Ab titer of llama (2008, 2009 and 2010) and vicugnas (only sampled in 2008) living in Jujuy province. The serum samples were evaluated by HIA (Figure 1, A) and ELISA (Figure 1 B). Our results showed high GM Ab titers for llama sampled during the three years under study (GM-HIA: 429, 452.5 and 393: GM-ELISA: 714.8, 624 and 356, respectively, for 2008, 2009 and 2010). The GM Ab titer of specimens sampled in 2008 was significantly higher that GM Ab titers from specimens sampled in 2010 (Kw, p<0.05). On the other hand, the GM Ab titer from domestic llamas sampled during 2008, was significantly higher than the GM of free ranging vicugnas captured by Chaku and sampled the same year (GM-HIA: 429 vs 320, GM-ELISA: 715 vs 351, Kw p<0.05).

Figure 1.Positive serum samples of SAC from Jujuy province tested by HIA (A) and ELISA (B) against human Influenza A H1N1 virus. Serum specimens were tested by HIA using A/Argentina/017/2009 (H1N1)pdm virus strain and ELISA using H1 (HA0) recombinant protein derived from the PR8 reference strain. Samples with HIA and ELISA Ab titers to 40 and 256, respectively were considered positives. GMT and 95% confidence intervals are indicated by long and short horizontal lines, respectively. Controls values is shown in table 2. Significantly difference is marked using letters, same letter show no differences (KW, p<0.05, Dunneyy post hoc test). As positive control llama hyperimmunized with a Human Flu vaccines was included and plotted in last place of serial data
 Positive serum samples of SAC from Jujuy province tested by HIA (A) and ELISA (B) against human Influenza A H1N1 virus. Serum specimens were tested by HIA using A/Argentina/017/2009 (H1N1)pdm virus strain and ELISA using H1 (HA0) recombinant protein derived from the PR8 reference strain. Samples with HIA and ELISA Ab titers to 40 and 256, respectively were considered positives. GMT and 95% confidence intervals are indicated by long and short horizontal lines, respectively. Controls values  is shown in table 2. Significantly difference is marked using letters, same letter show no differences (KW, p<0.05, Dunneyy post hoc test). As positive control llama hyperimmunized with a Human Flu vaccines was included and plotted  in last place of serial data

In Figure 2 the GM of serum Ab titer of llamas (2009) and guanacos (2010) sampled at La Payunia province Park, in Mendoza province are shown. The serum samples were evaluated by HIA (Figure 2, A) and ELISA (Figure 2 B). Our results showed that the GM Ab titer tested by ELISA of the llamas sampled during 2009 was significantly higher than the GM Ab titer of the guanacos sampled during 2010 (773 vs 425, MW p<0.05).

Figure 2.Positive serum samples of SAC from Mendoza province tested by HIA (A) and ELISA (B) against human Influenza A H1N1 virus. Serum specimens were tested by HIA using A/Argentina/017/2009 (H1N1)pdm virus strain and ELISA using H1 (HA0) recombinant protein derived from the PR8 reference strain. Samples with HIA and ELISA Ab titers ≥to 40 and 256, respectively were considered positive. GMT and 95% confidence intervals are indicated by long and short horizontal lines, respectively. Controls values are shown in table 2. Significantly difference are marked using letters, same letter show no differences (KW, p<0.05, Tukey post hoc test). As positive control llama hyperimmunized with a Human Flu vaccines was included and plotted in last place of serial data.
 Positive serum samples of SAC from Mendoza province tested by HIA (A) and ELISA (B) against human Influenza A H1N1 virus. Serum specimens were tested by HIA using A/Argentina/017/2009 (H1N1)pdm virus strain and ELISA using H1 (HA0) recombinant protein derived from the PR8 reference strain. Samples with HIA and ELISA Ab titers ≥to 40 and 256, respectively were considered positive. GMT and 95% confidence intervals are indicated by long and short horizontal lines, respectively. Controls values are shown in table 2. Significantly difference are marked using letters, same letter show no differences (KW, p<0.05, Tukey post hoc test). As positive control llama hyperimmunized with a Human Flu vaccines was included and plotted  in last place of serial data.

Finally, in Figure 3 of the GM Ab titers of captive guanacos sampled during 2008, 2009 and 2010 in Rio Negro are depicted. The serum samples were evaluated by HIA (Figure 3, A) and ELISA (Figure 3 B). Our results showed the highest GMT for guanacos sampled during 2008 with a 100% of positive animals (GM-HIA: 773 and GM-ELISA: 1805). The ten specimens sampled during 2009 were negative for Ab to H1 IAV, while the 75% of the specimens sampled in 2010 were seropositive (GM-HIA: 339, GM-ELISA: 512). The GMT of animals sampled in 2008 was significantly higher that the GMT of the animals sampled in 2010 (KW, p<0.05).

Figure 3.Positive serum samples of SAC from Río Negro province tested by HIA (A) and ELISA (B) against human Influenza A H1N1 virus. Serum specimens were tested by HIA using A/Argentina/017/2009 (H1N1)pdm virus strain and ELISA using H1 (HA0) recombinant protein derived from the PR8 reference strain. Samples with HIA and ELISA Ab titers ≥to 40 and 256, respectively were considered positive. GMT and 95% confidence intervals are indicated by long and short horizontal lines, respectively. Controls values are shown in table 2. Significantly difference is marked using letters, same letter show no differences (KW, p<0.05, Tukey post hoc test). As positive control llama hyperimmunized with a Human Flu vaccines was included and plotted plotted in last place of serial data.
 Positive serum samples of SAC from Río Negro province tested by HIA (A) and ELISA (B) against human Influenza A H1N1 virus. Serum specimens were tested by HIA using A/Argentina/017/2009 (H1N1)pdm virus strain and ELISA using H1 (HA0) recombinant protein derived from the PR8 reference strain. Samples with HIA and ELISA Ab titers ≥to 40 and 256, respectively were considered positive. GMT and 95% confidence intervals are indicated by long and short horizontal lines, respectively. Controls values are shown in table 2. Significantly difference is marked using letters, same letter show no differences (KW, p<0.05, Tukey post hoc test). As positive control llama hyperimmunized with a Human Flu vaccines was included and plotted plotted in last place of serial data.

Discussion

It is well known that camelid species are relatively healthy animals so evidences of infectious diseases are limited 40, 41. Earlier reports on viral infections of camelids produced two main classifications related to those which causing and those do not causing disease (nonpathogenic viral infections) 42. It would be interesting to look at the viral infections that occur within SAC and dromedaries, and those that can be acquired from other animal species via interspecies spread 43. Following this vein of research, influenza virus possess different animal species acting as reservoirs which play a critical role for the transmission of the infection and the emergence of new variants 5, 10, 44. As an example of these reservoirs, bats have been found to play and important role in the epidemiology of viral infections as rabid and have been found recently to be infected with influenza virus in Peru 13.

Influenza A viruses bear high morbidity and mortality burdens in humans following yearly seasonal epidemics and, occasional, potentially pandemics. The chance of infection or pandemic is the direct result of a dynamic interplay between animal health, environmental factors and the immune system of the human host. Particularly, pandemics are caused by influenza A viruses originating from animal reservoirs while epidemics are caused by their progeny variants -seasonal influenza A viruses- that have adapted to the human species. Certain environmental factors may determine the rate of inter-species transmission such as close contact with infected animals or contact with contaminated water 5, 10, 44. In our work, we found that the 37% of the sampled SAC were positive for Ab to H1-like influenza A virus and negative for swine H3N2 and equine H3N8 strains (Table 2). Interestingly, in the three locations and in two of the three species of SAC (llamas and guanacos), the GM Ab titers of the positive reactors sampled 2008 were significantly higher than the Ab titers found in the specimens samples in 2010. These findings are in disagreement to the expected result according to the moment of the pandemic registered in humans. However, this interpretation must be taken with care, since different animal specimens were sampled each year. The evidence of influenza A circulation in SACs is in concordance with a few studies 17, 42. Specifically, Riveros et al (1987) found that two llamas from the Zoo of Santiago-Chile were positive to human influenza A H1N1, specifically to A/Santiago/743/83 (H1N1).

On the other hand, when comparing the mean Ab titers of domestic llamas with free ranging vicugnas sampled in 2008, the llamas, living in close contact with humans, had significantly higher Ab titer than wild vicugnas. This finding might support the hypothesis that domestic SAC can be infected with human viruses. While the detection of Ab to H1 like IAV, support another hypothesis, that wild and domestic SAC can be infected by a specific IAV, antigenically related to H1 IAV, as we had proved to happen for rotavirus detected in wild vicugnas and guanacos (Badaracco et al., 2014, 2013, Parreno et al., 2004, 2001). All the samples were taken from animals that did not present any clinical sign of respiratory disease at sampling, then no swabs were taken. After the high Ab percentages of seropositive animals and titers found, new survey are in progress in order to take proper samples for IAV detection.

Here we show the serological evidence of the circulation of influenza A strain in SAC population in Argentina. The strain infecting camelids seems to be antigenically related to the human H1N1 strain and not to the types circulating in swines or horses. In order to clarify the reason why the antibodies from samples taken during 2008 react with the 2009H1N1pdm strain, with no detected circulation previous to the pandemic event, the samples were tested by ELISA using the recombinant H1 (HA0) derived from the ancient reference strain PR8, indicating that SAC have Ab to H1 like influenza viruses. However, further studies must be performed which should start with the detection and molecular characterization of the IAV circulating in Argentinean SACs. A sequence comparison both with the H1N1 detected in SAC in Chile 17 and with the IAV found in bats in Peru 18would help bringing light to the origin of these Influenza viruses.

The present study represents a broad survey for antibodies against Influenza A agents in SAC from Argentina and demonstrates the need for additional information to better understand the dynamics and ecology of influenza A virus within these SAC populations, and the potential role of these species in the epidemiology of livestock diseases as a reservoir of viral agents of high impact in public health.

Funding

This work was supported by the National Agency for Scientific and Technological Promotion (ANPCyT - FonCyT) PICT 2014-1437, Ministry of Science and Technology (MINCyT) and National Council for Scientific and Technical Research (CONICET).

Acknowledgements

We acknowledge to the scientist who collaborate with this work: Dr. Robles from EEA Bariloche-Argentina, Dr. Barrandeguy, Dr. Pereda and Dr. Zabal from CICVyA INTA–Buenos Aires, and Dr Andres Wigdorovitz, INCUINTA, CICV y A, INTA.

References

  1. 1.Taubenberger J K, Kash J C. (2010) Influenza virus evolution, host adaptation, and pandemic formation. Cell Host and Microbe. 440-451.
  1. 2.Smith D J. (2004) Mapping the Antigenic and Genetic Evolution of Influenza Virus. Science(80)305: 371-376.
  1. 3.Ong A K, Hayden F G, John F. (2007) Enders lecture 2006: antivirals for influenza. , J Infect Dis 196, 181-90.
  1. 4.Morens D M, Taubenberger J K. (2010) Historical thoughts on influenza viral ecosystems, or behold a pale horse, dead dogs, failing fowl, and sick swine. Influenza Other Respi Viruses. 4, 327-337.
  1. 5.Reperant L A, ADME Osterhaus. (2012) Influenza in birds and mammals. Pandemic influenza.
  1. 6.Morens D M, Fauci A S. (2013) Emerging Infectious Diseases: Threats to Human Health and Global Stability. doi: 10.1371/journal.ppat.1003467. PLoS Pathog. 9, 1003467.
  1. 7.Taubenberger J K, Morens D M. (2013) Influenza viruses: Breaking all the rules.MBio. 4, 1-6.
  1. 8.Nelson M I, Vincent A L. (2015) Reverse zoonosis of influenza to swine: new perspectives on the human-animal interface. , Trends Microbiol 23, 142-153.
  1. 9. (2013) WHO.WHO | Influenza (Seasonal). In: Bulletin of the World Health Organization [Internet]. , Available: http://www.who.int/mediacentre/factsheets/fs211/en/
  1. 10.Short K R, Richard M, Verhagen J H, D van Riel, Schrauwen EJ a et al. (2015) One health, multiple challenges: The inter-species transmission of influenza A virus. , One Heal 1, 1-13.
  1. 11.Freidl G S, Binger T, Müller M A, E De Bruin, J Van Beek et al. (2015) Serological evidence of influenza a viruses in frugivorous bats from Africa. doi: 10.1371/journal.pone.0127035. PLoS. , One 10.
  1. 12.Tong S, Li Y, Rivailler P, Conrardy C, DAA Castillo et al. (2012) A distinct lineage of influenza A virus from bats. , Proc Natl Acad Sci U S A 109, 4269-4274.
  1. 13.Tong S, Zhu X, Li Y, Shi M, Zhang J et al. (2013) New World Bats Harbor Diverse Influenza A Viruses. doi: 10.1371/journal.ppat.1003657. PLoS Pathog. 9
  1. 14.Lvov D K, Zhdanov V M. (1983) Persistence of genes of epidemical influenza viruses in natural populations in the USSR. , MedBiol 61, 83-91.
  1. 15.Yamnikova S S, Mandler J, Bekh-Ochir Z H, Dachtzeren P, Ludwig S et al. (1993) A reassortant H1N1 influenza A virus caused fatal epizootics among camels in Mongolia. , Virology 197, 558-563.
  1. 16.Yondon M, Heil G L, Burks J P, Zayat B, Waltzek T B et al. (2013) Isolation and characterization of H3N8 equine influenza A virus associated with the 2011 epizootic in Mongolia. Influenza Other Respi Viruses. 7, 659-665.
  1. 17.Riveros V, Moreira R, Celedón M, Berríos P. (1987) Estudio serológico de virus influenza y para influenza 3 en pequeños rumiantes del zoologico nacional de santiago. Av en Ciencias Vet. 2, 33-36.
  1. 18.Rivera H, Madewell B R, Ameghino E. (1987) Serologic survey of viral antibodies in the Peruvian alpaca (Lama pacos). , Am J Vet Res 48, 189-191.
  1. 19.Franklin W L. (1982) Biology, ecology, and relationship to man of the south american camelids. , Mamm Biol South Am 6, 457-489.
  1. 20.Franklin W. (1983) Contrasting socioecologies of South American wild camelids: the vicuña and the guanaco. Advances in the study of mammalian behavior. 573-629.
  1. 21.Wheeler J C. (2006) Historia natural de la vicuña. Zoology. 17–25
  1. 22.Wheeler J C, AJF Russel, Redden H Llamas, Alpacas. (1995) Pre-conquest breeds and post-conquest hybrids. , Journal of Archaeological Science 833-840.
  1. 23.Wheeler J C. (1995) Evolution and present situation of the South American Camelidae. , Biol J Linn Soc 54, 271-295.
  1. 24.. (2005).FAO.SITUACIÓN ACTUAL DE LOS CAMÉLIDOS[Internet]. Available: http://www.produccion-animal.com.ar/produccion_de_camelidos/camelidos_general/162-situacion.pdf .
  1. 25.Kadwell M, Fernandez M, Stanley H F, Baldi R, Wheeler J C et al. (2001) Genetic analysis reveals the wild ancestors of the llama and the alpaca. Proc Biol Sci 268, 2575-84.
  1. 26.Vilá B. (2014) . , UNA APROXIMACIÓN A LA ETNOZOOLOGÍA DE LOS CAMÉLIDO ANDINOS. Etnoecológic Etnoecológica 10, 1-16.
  1. 27.Barbieri E S, D V Rodríguez, Marin R E, Setti W, Romero S et al. (2014) Serological survey of antibodies against viral diseases of public health interest in llamas (Lama glama) from Jujuy province. , Argentina. Rev Argent Microbiol 46, 53-7.
  1. 28.Fowler M E. (1996) Husbandry and diseases of camelids.RevSciTech. Available: http://www.ncbi.nlm.nih.gov/pubmed/8924702 15, 155-69.
  1. 29.Marcoppido G, Parreño V, Vilá B. (2010) Antibodies to pathogenic livestock viruses in a wild vicuña (Vicugna vicugna) population in the Argentinean Andean altiplano. , J Wildl Dis 46, 608-614.
  1. 30.Puntel M, N a Fondevila, Blanco Viera J, O’Donnell V K, Marcovecchio J F et al. (1999) Serological survey of viral antibodies in llamas (Lama glama) in Argentina. , J Vet Med Ser B 46, 157-61.
  1. 31.Puntel M. (1997) Seroprevalence of viral infections in llamas (Lama glama) in the Republic of. Available: http://www.scopus.com/inward/record.url?eid=2-s2.00030629198&partnerID=40&md5=33d81b19af5fc5cc64f8beaabd612a4f , Argentina Rev Argent Microbiol 29, 38-46.
  1. 32.L a Ramírez-Martínez, Contreras-Luna M, J De la Luz, Manjarrez M E, Rosete D P et al. (2013) Evidence of transmission and risk factors for influenza A virus in household dogs and their owners. Influenza Other Respi Viruses. 7, 1292-6.
  1. 33.WHO. (2011) Manual for the laboratory diagnosis and virological surveillance of influenza. World Heal Organ2011. 153.
  1. 34.ACM Boon, Osterhaus a DME, de Jong JC, Palache A M, WEP Beyer et al. (2003) Hemagglutination-inhibiting antibody to influenza virus.DevBiol(Basel). Available: http://www.ncbi.nlm.nih.gov/pubmed/15088777 115, 63-73.
  1. 35.Eichelberger M, Golding H, Hess M, Weir J, Subbarao K et al. (2008) FDA/NIH/WHO public workshop on immune correlates of protection against influenza A viruses in support of pandemic vaccine development,Bethesda,Maryland,US,December10-11,2007. , Vaccine 26, 4299-303.
  1. 36.Hancock K, Veguilla V, Lu X, Zhong W, Butler E N et al. (2009) Cross-reactive antibody responses to the 2009 pandemic H1N1 influenza virus. , N Engl J Med 361, 1945-1952.
  1. 37.Hinshaw V S, Webster R G, Easterday B C, Bean W J. (1981) Replication of avian influenza A viruses in mammals.infectImmun. Available: http://www.pubmedcentral.nih.gov/articlerender.fcgi?ar tid=350873&tool=pmcentrez&rendertype=abstract 34, 354-61.
  1. 38.Profeta M L, Palladino G. (1986) Serological evidence of human infections with avian influenza viruses.Brief report.Arch Virol. Available: http://www.ncbi.nlm.nih.gov/pubmed/3729733 90, 355-60.
  1. 39.Sokal R R, Rohlf F J. (1995) Biometry. Third edition. Biometry Third edition.
  1. 40.Bravo P W. (2015) Camelidae [Internet]. doi: 10.1016/B978-1-4557-7397-8.00060-8. Fowler’s Zoo and Wild Animal Medicine.ElsevierInc8.
  1. 41.Kapil S, Yeary T, Evermann J F. (2009) Viral Diseases of New World Camelids. Vet Clin North Am - Food Anim Pract. 25, 323-337.
  1. 42.Thedford T R, Johnson L W. (1989) Infectious diseases of New-World camelids (NWC). Vet Clin North Am Food Anim Pr. Available: http://www.ncbi.nlm.nih.gov/pubmed/2647231 5, 145-157.
  1. 43.Parrish C R, Holmes E C, Morens D M, Park E-C, Burke D S et al. (2008) Cross-species virus transmission and the emergence of new epidemic diseases. , Microbiol Mol Biol Rev 72, 457-470.
  1. 44.L a Reperant, Kuiken T, ADME Osterhaus. (2012) Adaptive pathways of zoonotic influenza viruses: From exposure to establishment in humans. , Vaccine 30, 4419-4434.
  1. 45.Parreno V, Bok K, Fernandez F, Gomez J. (2004) Molecular characterization of the first isolation of rotavirus in guanacos (Lama guanicoe). , Arch Virol 149, 2465-2471.
  1. 46.Parreno V, Constantini V, Cheetham S, Blanco Viera J, Saif L J et al. (2001) First isolation of rotavirus associated with neonatal diarrhoea in guanacos (Lama guanicoe) in the Argentinean Patagonia region. , J Vet Med B Infect Dis Vet Public Heal 48, 713-720.
  1. 47.Parreño V, Costantini V, Cheetham S, Blanco Viera J, Saif L J et al. (2001) First isolation of rotavirus associated with neonatal diarrhoea in guanacos (Lama guanicoe) in the Argentinean Patagonia region. , J Vet Med Ser B 48, 713-720.
  1. 48.Badaracco A, Matthijnssens J, Romero S, Heylen E, Zeller M et al. (2013) Discovery and molecular characterization of a group A rotavirus strain detected in an Argentinean vicu??a (Vicugna vicugna). , Vet Microbiol 161, 247-254.
  1. 49.Badaracco A, Garaicoechea L, Matthijnssens J, Parreño V. (2014) Epidemiology of Rotavirus Infection in cattle, small ruminants and horses. Rotavirus Infections. 79-116.
  1. 50.Sutton T, Dibárbora M, Olivera V, Craig M I, Quiroga M et al.(Nov2011) Evidence of reassortment of pandemic H1N1 influenza virus in swine in Argentina: are we facing the expansion of potential epicenters of influenza emergence? Influenza Other Respir Viruses. 5(6), 409-12.

Cited by (5)

This article has been cited by 5 scholarly works according to:

OpenAlex 3 citations Crossref 2 citations Semantic Scholar 1 citations